The influence of persuasion in opinion formation and polarization

The influence of persuasion in opinion formation and polarization
Notice: This research summary and analysis were automatically generated using AI technology. For absolute accuracy, please refer to the [Original Paper Viewer] below or the Original ArXiv Source.

We present a model that explores the influence of persuasion in a population of agents with positive and negative opinion orientations. The opinion of each agent is represented by an integer number $k$ that expresses its level of agreement on a given issue, from totally against $k=-M$ to totally in favor $k=M$. Same-orientation agents persuade each other with probability $p$, becoming more extreme, while opposite-orientation agents become more moderate as they reach a compromise with probability $q$. The population initially evolves to (a) a polarized state for $r=p/q>1$, where opinions’ distribution is peaked at the extreme values $k=\pm M$, or (b) a centralized state for $r<1$, with most opinions around $k=\pm 1$. When $r \gg 1$, polarization lasts for a time that diverges as $r^M \ln N$, where $N$ is the population’s size. Finally, an extremist consensus ($k=M$ or $-M$) is reached in a time that scales as $r^{-1}$ for $r \ll 1$.


💡 Research Summary

The paper introduces a minimalist yet powerful agent‑based model to study how persuasive interactions and compromise shape opinion dynamics and polarization. Each individual holds an integer opinion state k ranging from −M to +M (excluding 0). The sign of k represents the orientation (e.g., “against” vs. “in favour”), while the absolute value measures conviction intensity, with |k|=1 denoting moderate views and |k|=M extremist positions.

At each discrete time step a random pair of agents (j, k) is selected. Two stochastic update rules are applied:

  1. Compromise (probability q): If the agents have opposite orientations, each moves one step toward the centre (j → j ± 1, k → k ∓ 1). When both are at the moderate states ±1, a random flip to either +1 or −1 occurs with probability q/2.

  2. Persuasion (probability p): If the agents share the same orientation, both become more extreme by one step (j → j ± 1, k → k ± 1).

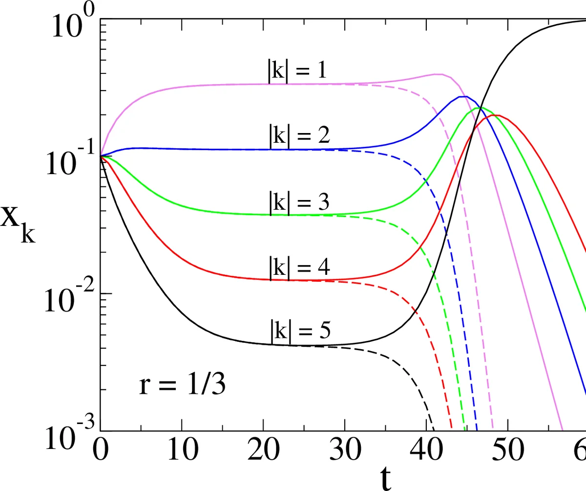
The ratio r = p/q controls the relative speed of the two processes. The authors derive mean‑field rate equations for the fraction x_k(t) of agents in each state, assuming a large population (N → ∞) so that demographic noise is negligible. The equations contain gain and loss terms reflecting the two mechanisms and respect the conservation ∑_k x_k = 1.

Solving the stationary version of these equations yields two trivial absorbing fixed points, x_{+M}=1 and x_{−M}=1, corresponding to unanimous extremist consensus. In addition, a non‑trivial symmetric solution exists when the total fractions of positive and negative agents are each ½. This “mixed” distribution is
\


Comments & Academic Discussion

Loading comments...

Leave a Comment