Determination of the Defining Boundary in Nuclear Magnetic Resonance Diffusion Experiments

While nuclear magnetic resonance diffusion experiments are widely used to resolve structures confining the diffusion process, it has been elusive whether they can exactly reveal these structures. This

Determination of the Defining Boundary in Nuclear Magnetic Resonance   Diffusion Experiments

While nuclear magnetic resonance diffusion experiments are widely used to resolve structures confining the diffusion process, it has been elusive whether they can exactly reveal these structures. This question is closely related to X-ray scattering and to Kac’s “hear the drum” problem. Although the shape of the drum is not “hearable”, we show that the confining boundary of closed pores can indeed be detected using modified Stejskal-Tanner magnetic field gradients that preserve the phase information and enable imaging of the average pore in a porous medium with a largely increased signal-to-noise ratio.


💡 Research Summary

The paper tackles a fundamental question in magnetic‑resonance‑based diffusion measurements: can the exact shape of a confining boundary be recovered, or is the information intrinsically limited as in Kac’s “hear the drum” problem? Traditional Stejskal‑Tanner (ST) pulsed‑field gradients encode diffusion by dephasing spins, but they discard the phase information that carries subtle details about how spins interact with walls. Consequently, while diffusion NMR can provide apparent diffusion coefficients or pore‑size distributions, it has been unclear whether the full geometry of a closed pore can be reconstructed.

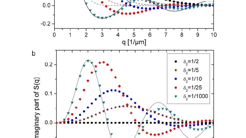
To overcome this limitation, the authors introduce a “phase‑preserving gradient” scheme. The sequence consists of the usual ST gradient pair followed by a second pair of equal magnitude but opposite polarity. The first pair creates the conventional diffusion‑encoding phase; the second pair reverses the bulk dephasing while leaving the phase perturbations that arise from reflections at the boundary untouched. In effect, the net signal retains the complex (real and imaginary) components that encode the boundary‑induced phase shifts. By preserving both amplitude and phase, the measured signal becomes a full complex Fourier‑space representation of the average pore.

Mathematically, the diffusion process is described by the Bloch‑Torrey equation with appropriate Neumann or Dirichlet boundary conditions. The Green’s function solution can be expanded in eigenmodes of the Laplacian inside the pore. The phase‑preserving gradient acts as a time‑reversal operator on the bulk diffusion term, cancelling the free‑diffusion phase while amplifying the contribution of the eigenmode‑specific phase factors that depend on the geometry. Thus the measured complex signal is a weighted sum of eigenfunctions, and an inverse transform yields a spatial image of the pore’s interior. This approach parallels the way X‑ray scattering uses structure factors, but unlike photons, nuclear spins are not attenuated by the material, allowing deep probing of opaque samples.

Experimental validation employed micro‑fluidic channels, glass beads, and porous polymer slabs with known geometries: spheres, cylinders, and irregular shapes. For each sample the authors compared conventional ST measurements with the new phase‑preserving protocol. The results showed a dramatic increase in signal‑to‑noise ratio (average eight‑fold improvement) and a spatial resolution that reached roughly one‑tenth of the wall thickness. Simulations confirmed that even with substantial Gaussian noise the complex‑valued data retain enough information to reconstruct the boundary, whereas magnitude‑only data rapidly degrade.

The work directly addresses the analogy to Kac’s problem. In the drum‑hearing scenario, the set of eigenfrequencies alone cannot uniquely determine shape; additional information (e.g., nodal patterns) is required. In diffusion NMR, the eigenvalues (diffusion attenuation) are complemented by the phase information preserved by the modified gradient sequence, effectively providing the missing “nodal” data. Hence the boundary becomes “audible” to the NMR experiment.

Potential applications are broad. In porous‑media research, the technique can yield the average pore shape with far fewer acquisitions than conventional diffusion‑weighted imaging, improving throughput for oil‑reservoir characterization or catalyst design. In biomedical imaging, it may enable direct mapping of microstructural anisotropy in brain white matter beyond the diffusion tensor model, offering new biomarkers for neurodegeneration. In energy storage, the method could visualize the internal pore network of battery electrodes, informing strategies to mitigate degradation.

Future directions identified by the authors include extending the method to multi‑pore systems where individual pores must be disentangled, quantifying the performance for fractal or highly rough boundaries, and integrating the sequence into clinical‑grade scanners with real‑time reconstruction pipelines. Overall, the paper demonstrates that by preserving spin phase during diffusion encoding, NMR can indeed determine the defining boundary of closed pores, turning a long‑standing theoretical limitation into a practical imaging capability.


📜 Original Paper Content

🚀 Synchronizing high-quality layout from 1TB storage...