Heterogeneity and Allometric Growth of Human Collaborative Tagging Behavior

Heterogeneity and Allometric Growth of Human Collaborative Tagging   Behavior
Notice: This research summary and analysis were automatically generated using AI technology. For absolute accuracy, please refer to the [Original Paper Viewer] below or the Original ArXiv Source.

Allometric growth is found in many tagging systems online. That is, the number of new tags (T) is a power law function of the active population (P), or T P^gamma (gamma!=1). According to previous studies, it is the heterogeneity in individual tagging behavior that gives rise to allometric growth. These studies consider the power-law distribution model with an exponent beta, regarding 1/beta as an index for heterogeneity. However, they did not discuss whether power-law is the only distribution that leads to allometric growth, or equivalently, whether the positive correlation between heterogeneity and allometric growth holds in systems of distributions other than power-law. In this paper, the authors systematically examine the growth pattern of systems of six different distributions, and find that both power-law distribution and log-normal distribution lead to allometric growth. Furthermore, by introducing Shannon entropy as an indicator for heterogeneity instead of 1/beta, the authors confirm that the positive relationship between heterogeneity and allometric growth exists in both cases of power-law and log-normal distributions.


💡 Research Summary

The paper investigates the phenomenon of allometric growth in online collaborative tagging systems, where the number of newly created tags (T) scales with the active user population (P) according to a power‑law relationship T ∝ P^γ with γ ≠ 1. Earlier work explained this scaling by assuming that individual tagging activity follows a power‑law distribution characterized by exponent β, and used the reciprocal 1/β as a proxy for heterogeneity. However, those studies did not examine whether the power‑law is the sole distribution capable of producing allometric growth, nor whether the positive link between heterogeneity and growth holds for other distributions.

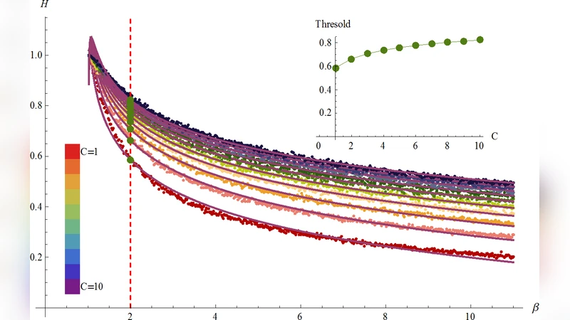
To address these gaps, the authors conduct extensive simulations of six distinct statistical distributions: Normal, Weibull, Poisson, Gamma, Log‑Normal, and Pareto (two parameterizations). For each distribution they vary the relevant parameters over broad ranges (e.g., 1 < β < 10 for power‑law, 1 < μ, σ < 10 for log‑normal) and compute the scaling exponent γ from the simulated T‑P relationship. The results show that only the Pareto distribution with exponent α ∈ (0, 1) (equivalently β ∈ (1, 2)) and the Log‑Normal distribution consistently yield γ > 1, indicating accelerating growth. Other distributions produce γ≈1, i.e., linear scaling.

Because 1/β cannot be used for log‑normal data, the authors propose a more universal heterogeneity metric: the Shannon entropy H of the activity distribution. Since raw entropy H₁ grows with system size N, they normalize it as H = H₁ / (N log N), producing a size‑independent measure. Analytic expressions for H in the power‑law case are derived, and numerical estimates are obtained for log‑normal data. The key finding is that there exists a threshold entropy H_t ≈ 0.586; only when H > H_t does the system exhibit γ > 1. This threshold holds for both power‑law and log‑normal simulations.

The theoretical claims are validated with real‑world data from two popular tagging platforms, Flickr and Delicious. Daily counts of new tags and active users are used to estimate γ (1.39 for Flickr, 1.18 for Delicious). Using the empirically measured β values, the authors compute the corresponding entropy H and confirm that both platforms lie above the entropy threshold, matching the simulation‑based prediction.

Overall, the paper makes three substantive contributions. First, it demonstrates that allometric growth is not exclusive to power‑law distributed activity; log‑normal distributions also generate the same scaling, broadening the applicability of the phenomenon. Second, it replaces the distribution‑specific heterogeneity proxy (1/β) with a universal, information‑theoretic measure (normalized Shannon entropy), enabling cross‑distribution comparisons. Third, it identifies a quantitative entropy threshold that delineates regimes of linear versus accelerating growth, offering a clear criterion for when heterogeneity translates into super‑linear system expansion.

These insights have practical implications for the design and management of online platforms. By fostering diverse user behavior—effectively raising the system’s entropy—site administrators can promote faster growth in content creation. The work also raises intriguing theoretical questions: why only power‑law and log‑normal families support allometric scaling, and whether the entropy‑growth relationship extends to offline social systems or other complex networks. Future research is encouraged to explore these avenues.


Comments & Academic Discussion

Loading comments...

Leave a Comment