Fixation and Polarization in a Three-Species Opinion Dynamics Model

Fixation and Polarization in a Three-Species Opinion Dynamics Model
Notice: This research summary and analysis were automatically generated using AI technology. For absolute accuracy, please refer to the [Original Paper Viewer] below or the Original ArXiv Source.

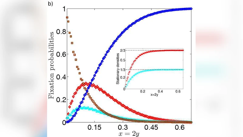
Motivated by the dynamics of cultural change and diversity, we generalize the three-species constrained voter model on a complete graph introduced in [J. Phys. A 37, 8479 (2004)]. In this opinion dynamics model, a population of size N is composed of “leftists” and “rightists” that interact with “centrists”: a leftist and centrist can both become leftists with rate (1+q)/2 or centrists with rate (1-q)/2 (and similarly for rightists and centrists), where q denotes the bias towards extremism (q>0) or centrism (q<0). This system admits three absorbing fixed points and a “polarization” line along which a frozen mixture of leftists and rightists coexist. In the realm of Fokker-Planck equation, and using a mapping onto a population genetics model, we compute the fixation probability of ending in every absorbing state and the mean times for these events. We therefore show, especially in the limit of weak bias and large population size when |q|~1/N and N»1, how fluctuations alter the mean field predictions: polarization is likely when q>0, but there is always a finite probability to reach a consensus; the opposite happens when q<0. Our findings are corroborated by stochastic simulations.


💡 Research Summary

The paper investigates a three‑species opinion dynamics model that extends the constrained voter model by introducing a bias parameter q governing the relative persuasiveness of extremists (leftists A and rightists B) versus centrists C. The system consists of a population of size N placed on a complete graph. Interactions occur only between an extremist and a centrist: an A–C pair can become AA with probability (1+q)/2 or revert to CC with probability (1‑q)/2; the same rules apply to B–C pairs. Positive q favors extremism, negative q favors centrism.

In the deterministic limit (N → ∞) the mean‑field rate equations are d a/dt = q a(1‑a‑b) and d b/dt = q b(1‑a‑b). These equations conserve the ratio a/b and predict three absorbing fixed points (pure A, pure B, pure C) together with a line of mixed states a+b=1 (the “polarization line”) that is stable for q>0, while the pure C state is stable for q<0.

Because real populations are finite, stochastic fluctuations can dramatically alter these predictions. The authors formulate a backward master equation for the fixation probabilities, with transition rates T±x = (1±q) x(1‑x‑y)/2 and T±y analogously. Expanding to second order in 1/N yields a two‑dimensional Fokker‑Planck (FP) equation
\


Comments & Academic Discussion

Loading comments...

Leave a Comment