Density profiles of loose and collapsed cohesive granular structures generated by ballistic deposition

Density profiles of loose and collapsed cohesive granular structures   generated by ballistic deposition
Notice: This research summary and analysis were automatically generated using AI technology. For absolute accuracy, please refer to the [Original Paper Viewer] below or the Original ArXiv Source.

Loose granular structures stabilized against gravity by an effective cohesive force are investigated on a microscopic basis using contact dynamics. We study the influence of the granular Bond number on the density profiles and the generation process of packings, generated by ballistic deposition under gravity. The internal compaction occurs discontinuously in small avalanches and we study their size distribution. We also develop a model explaining the final density profiles based on insight about the collapse of a packing under changes of the Bond number.


💡 Research Summary

This paper investigates how cohesive granular assemblies, stabilized against gravity by an effective attractive force, develop their internal density profiles during ballistic deposition. Using a Contact Dynamics framework, the authors model particles as rigid disks interacting through frictional contacts and a tunable cohesive force. The key dimensionless parameter is the granular Bond number (B), defined as the ratio of cohesive force to particle weight. By varying B, the study spans regimes from loosely packed, gravity‑dominated structures (low B) to densely packed, cohesion‑dominated packings (high B).
The deposition process is simulated in two dimensions: particles are released from a random horizontal line above a fixed substrate and fall under gravity. Upon impact, particles do not simply stick; instead, they may trigger local rearrangements that propagate as small avalanches. These avalanches constitute discrete compaction events, characterized by the number of particles involved and the vertical displacement they experience. Statistical analysis shows that for low B the avalanche size distribution follows an exponential law, indicating frequent, small‑scale collapses, whereas for high B the distribution shifts toward a power‑law tail, reflecting rarer but larger collapses. A critical Bond number marks the transition where the system abruptly switches from continuous, incremental densification to a single, system‑wide collapse.
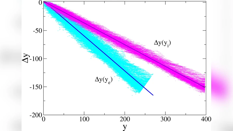
To rationalize the observed density profiles, the authors develop a continuum‑scale model based on the evolution of pore volume V(z) with depth z. They propose a differential equation dV/dz = –k(B)·V, where the collapse coefficient k(B) grows with B (approximately linear for the range studied). Integration yields an exponential decay of pore volume, V(z) = V₀ exp


Comments & Academic Discussion

Loading comments...

Leave a Comment