First Sunquake of Solar Cycle 24 Observed by Solar Dynamics Observatory

First Sunquake of Solar Cycle 24 Observed by Solar Dynamics Observatory
Notice: This research summary and analysis were automatically generated using AI technology. For absolute accuracy, please refer to the [Original Paper Viewer] below or the Original ArXiv Source.

The X2.2-class solar flare of February 15, 2011, produced a powerful `sunquake’ event, representing a seismic response to the flare impact. The impulsively excited seismic waves formed a compact wavepacket traveling through the solar interior and appeared on the surface as expanding wave ripples. The Helioseismic and Magnetic Imager (HMI), instrument on SDO, observes variations of intensity, magnetic field and plasma velocity (Dopplergrams) on the surface of Sun almost uninterruptedly with high resolution (0.5 arcsec/pixel) and high cadence (45 sec). The flare impact on the solar surface was observed in the form of compact and rapid variations of the HMI observables (Doppler velocity, line-of-sight magnetic field and continuum intensity). These variations, caused by the impact of high-energy particles in the photosphere, formed a typical two-ribbon flare structure. The sunquake can be easily seen in the raw Dopplergram differences without any special data processing. The source of this quake was located near the outer boundary of a very complicated complicated sunspot region, NOAA 1158, in a sunspot penumbra and at the penumbra boundary. This caused an interesting plasma dynamics in the impact region. I present some preliminary results of analysis of the near-real-time data from HMI, and discuss properties of the sunquake and the flare impact sources.


💡 Research Summary

This paper presents the first detailed observation of a sunquake associated with the X2.2‑class solar flare of 15 February 2011, using data from the Helioseismic and Magnetic Imager (HMI) aboard the Solar Dynamics Observatory (SDO). Unlike earlier studies that relied on the SOHO/MDI instrument with limited spatial resolution (≈2″) and intermittent coverage, HMI provides continuous full‑disk observations at 0.5″ per pixel and a cadence of 45 seconds, capturing intensity, line‑of‑sight magnetic field, and Doppler velocity with unprecedented detail.

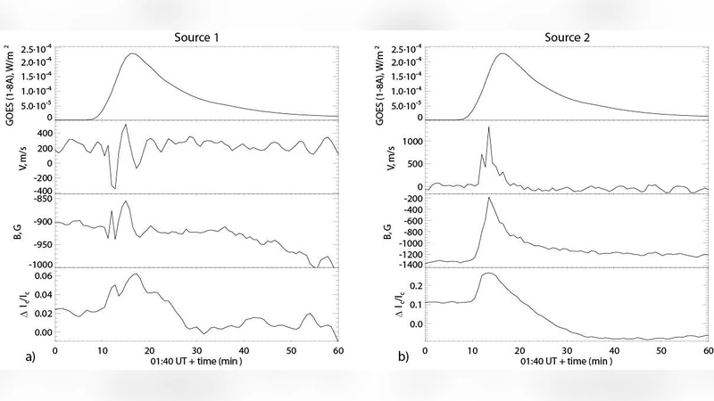
The flare exhibited a classic two‑ribbon morphology in the active region NOAA 1158, which possessed a δ‑type magnetic configuration. The authors identified two distinct impact sites, labeled Source 1 and Source 2, based on rapid variations in the HMI observables. Source 1 was located at the outer edge of the sunspot penumbra, a region of relatively weak magnetic field (a few hundred gauss). At the time of the impulsive phase (≈01:51 UT), this site showed a sudden downflow in the Doppler signal, a brief decrease in the line‑of‑sight magnetic field, and an impulsive brightening in the continuum intensity. These signatures, visible directly in raw Doppler‑difference movies, indicate a localized, high‑momentum impact on the photosphere. Approximately twenty minutes later, an expanding acoustic wavefront became evident as an elliptical ripple on the solar surface, propagating most strongly toward the north‑east, where the ambient magnetic field is weak. In the opposite direction, where stronger fields are present, the wave amplitude was markedly suppressed, demonstrating the well‑known anisotropy of helioseismic waves in magnetized plasma.

Source 2, by contrast, lay within the strong‑field outer umbra of the same sunspot, where the magnetic field exceeds 1200 G. Although this site displayed even larger Doppler, magnetic, and intensity perturbations than Source 1, it failed to generate a detectable acoustic ripple. The authors interpret this as evidence that strong magnetic fields can inhibit the conversion of impulsive momentum into acoustic energy, either by channeling the energy into magnetic stresses or by damping the resulting wave.

The paper discusses the broader implications of these findings. The observed anisotropy of the wavefront mirrors earlier cases, such as the 28 October 2003 flare, where the strongest seismic response aligned with the direction of expanding flare ribbons. The authors suggest that the motion of the flare ribbons—driven by magnetic reconnection in the corona—may cause the impact source to migrate across the photosphere, thereby shaping the directionality and efficiency of sunquake generation. In the present event, Source 1 appears to have moved from the penumbral edge into the penumbra itself, producing a localized, wave‑like motion that likely contributed to the observed acoustic signature.

Overall, the study demonstrates the power of SDO/HMI for real‑time helioseismic investigations. The high spatial and temporal resolution enables the detection of subtle, rapid photospheric changes that precede or accompany sunquakes, providing new constraints on the physical mechanisms that convert flare energy and momentum into seismic waves. The authors conclude that systematic, continuous observations with HMI will be essential for building a statistically robust sample of sunquakes, clarifying why only a subset of flares produce them, and ultimately unraveling the role of magnetic field strength, source dynamics, and plasma inhomogeneities in the excitation of solar acoustic waves.


Comments & Academic Discussion

Loading comments...

Leave a Comment