Vector Diffusion Maps and the Connection Laplacian

Vector Diffusion Maps and the Connection Laplacian
Notice: This research summary and analysis were automatically generated using AI technology. For absolute accuracy, please refer to the [Original Paper Viewer] below or the Original ArXiv Source.

We introduce {\em vector diffusion maps} (VDM), a new mathematical framework for organizing and analyzing massive high dimensional data sets, images and shapes. VDM is a mathematical and algorithmic generalization of diffusion maps and other non-linear dimensionality reduction methods, such as LLE, ISOMAP and Laplacian eigenmaps. While existing methods are either directly or indirectly related to the heat kernel for functions over the data, VDM is based on the heat kernel for vector fields. VDM provides tools for organizing complex data sets, embedding them in a low dimensional space, and interpolating and regressing vector fields over the data. In particular, it equips the data with a metric, which we refer to as the {\em vector diffusion distance}. In the manifold learning setup, where the data set is distributed on (or near) a low dimensional manifold $\MM^d$ embedded in $\RR^{p}$, we prove the relation between VDM and the connection-Laplacian operator for vector fields over the manifold.


💡 Research Summary

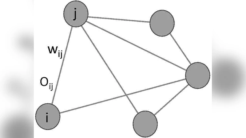
The paper introduces Vector Diffusion Maps (VDM), a novel framework that extends classical diffusion‑map‑type dimensionality reduction by incorporating not only scalar affinities but also orthogonal transformations on the edges of a data graph. The authors start from the manifold‑learning assumption: a large set of high‑dimensional points {x_i}⊂ℝ^p is sampled near a low‑dimensional smooth manifold M^d. For each point x_i a local neighbourhood is defined (radius √ε_PCA) and a weighted data matrix B_i is built by scaling the centered neighbour vectors with a kernel K. Performing an SVD on B_i yields the top d left singular vectors, collected in a p×d matrix O_i. These columns form an orthonormal basis approximating the tangent space T_{x_i}M.

When two points x_i and x_j are close (Euclidean distance < √ε, with ε≫ε_PCA), their estimated tangent spaces are nearly aligned. The matrix O_i^T O_j is generally not orthogonal; the authors compute the closest orthogonal matrix O_{ij}=UV^T (via the SVD of O_i^T O_j) and interpret O_{ij} as a discrete approximation of the parallel‑transport operator that moves vectors from T_{x_j}M to T_{x_i}M.

With scalar affinities w_{ij}=K(‖x_i−x_j‖/√ε) and the orthogonal maps O_{ij}, a block matrix S∈ℝ^{nd×nd} is defined by S(i,j)=w_{ij} O_{ij} for edges (i,j) and zero otherwise. A diagonal degree matrix D has blocks D(i,i)=deg(i)·I_d where deg(i)=∑j w{ij}. Various normalizations (D^{-1}S, D^{-1/2}SD^{-1/2}, etc.) mirror the normalizations of the graph Laplacian and lead to different embeddings.

Spectral decomposition of the normalized matrix yields eigenvalues λ_ℓ and eigenvectors ψ_ℓ (each ψ_ℓ(i)∈ℝ^d). For a diffusion time t, the embedding of point i is Φ_t(i)=(λ_1^t ψ_1(i),…,λ_m^t ψ_m(i)). The Euclidean distance between two embedded points defines the vector diffusion distance, a metric that respects both the manifold’s geometry and the relative orientations of local tangent spaces.

The central theoretical contribution is Theorem 5.1, which proves that, under appropriate scaling (ε→0, ε_PCA→0, n→∞) and smoothness assumptions, the normalized block matrix converges to the connection Laplacian Δ^{∇}, the Laplace‑Beltrami operator acting on vector fields. The proof hinges on (a) the consistency of local PCA in estimating tangent spaces, (b) the consistency of the alignment step in approximating parallel transport, and (c) the standard convergence of graph Laplacians to the scalar Laplace‑Beltrami operator. Consequently, VDM can be interpreted as a discrete heat kernel for vector fields.

A short‑time asymptotic expansion of the heat kernel shows that the vector diffusion distance approximates the geodesic distance up to a factor proportional to the diffusion time, confirming that VDM preserves intrinsic geometry while encoding orientation information.

The authors also discuss out‑of‑sample extension via the Nyström method: new points are linked to the existing graph, O_{new,i} and w_{new,i} are computed, and the existing eigenvectors are used to estimate ψ_ℓ(new). This enables interpolation of vector fields and regression on unseen data.

Numerical experiments on spheres S^d of various dimensions and on more complex surfaces demonstrate that the vector diffusion distance aligns closely with geodesic distance and often outperforms the scalar diffusion distance, especially when orientation cues are important. An application to cryo‑electron microscopy illustrates how VDM naturally handles the rotational alignment problem: each image is associated with an element of SO(2) or SO(3), and the orthogonal transformations capture the optimal rotations between images, leading to a robust multi‑reference alignment.

In conclusion, VDM provides a principled way to embed data while preserving both metric and vectorial (rotational) structure. It bridges graph‑based diffusion methods with differential‑geometric concepts such as parallel transport and the connection Laplacian. Future directions suggested include extensions to manifolds with boundaries or singularities, handling higher‑order tensor fields, and integrating VDM ideas into deep learning pipelines for large‑scale data.


Comments & Academic Discussion

Loading comments...

Leave a Comment