The Balloon-borne Large Aperture Submillimeter Telescope (BLAST) 2006: Calibration and Flight Performance

The Balloon-borne Large Aperture Submillimeter Telescope (BLAST) 2006:   Calibration and Flight Performance
Notice: This research summary and analysis were automatically generated using AI technology. For absolute accuracy, please refer to the [Original Paper Viewer] below or the Original ArXiv Source.

The Balloon-borne Large Aperture Submillimeter Telescope (BLAST) operated successfully during a 250-hour flight over Antarctica in December 2006 (BLAST06). As part of the calibration and pointing procedures, the red hypergiant star VY CMa was observed and used as the primary calibrator. Details of the overall BLAST06 calibration procedure are discussed. The 1-sigma absolute calibration is accurate to 10, 12, and 13% at the 250, 350, and 500 micron bands, respectively. The errors are highly correlated between bands resulting in much lower error for the derived shape of the 250-500 micron continuum. The overall pointing error is <5" rms for the 36, 42, and 60" beams. The performance of the optics and pointing systems is discussed.


💡 Research Summary

The Balloon-borne Large Aperture Submillimeter Telescope (BLAST) conducted a 250‑hour Antarctic flight in December 2006 (BLAST06), operating three broadband bolometer arrays at 250 µm, 350 µm, and 500 µm. The instrument featured a 1.8‑m parabolic primary mirror and delivered diffraction‑limited beams of 36″, 42″, and 60″ full‑width at half‑maximum (FWHM) respectively. Data acquisition recorded 288 voltage‑time streams at 100 Hz, of which 18 were diagnostic channels used to remove common‑mode noise. After despiking, de‑convolution of the read‑out filters, and application of a post‑flight pointing solution, the streams were combined into maps using a maximum‑likelihood map‑making algorithm that exploits the cross‑linked scan strategy to suppress low‑frequency drifts.

Calibration hinged on the red hypergiant VY CMa, the brightest isolated point‑like source available during the flight. A comprehensive spectral energy distribution (SED) for VY CMa was assembled from archival IRAS (12–100 µm), SCUBA (850 µm), SHARC‑II (350 µm), Bolocam (1.1 mm), and UKT14 (450 µm, 800 µm) measurements. The SED was fitted with a modified black‑body model, providing flux density predictions at the BLAST band centers. Because BLAST’s filters are broad (≈30 % fractional bandwidth), a color‑correction factor was derived for each band based on the source spectrum, ensuring that the quoted fluxes are monochromatic. The resulting absolute calibration coefficients are 2.73 × 10¹² Jy V⁻¹ (250 µm), 2.86 × 10¹² Jy V⁻¹ (350 µm), and 1.16 × 10¹² Jy V⁻¹ (500 µm). The 1‑σ absolute calibration uncertainties are 9.5 % (250 µm), 8.7 % (350 µm), and 9.2 % (500 µm). These errors are dominated by the 5 % uncertainty in the filter bandpasses and are highly correlated across bands (Pearson coefficients ≈0.98), which dramatically reduces the uncertainty on derived spectral indices or dust temperatures to ≲2 %.

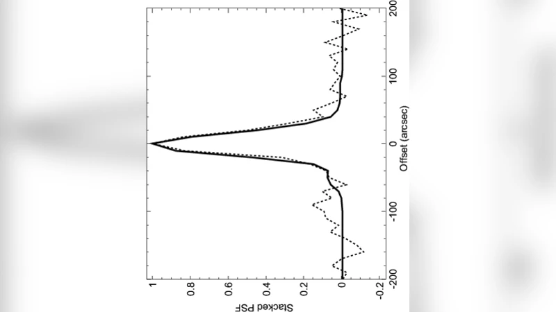
Pointing was achieved with a suite of sensors: fiber‑optic gyroscopes, optical star cameras, a differential GPS, a magnetometer, and a sun sensor. In‑flight pointing accuracy was ≈30″ rms, while post‑flight reconstruction used only the gyroscopes and star‑camera data within an extended Kalman filter framework. An elevation‑dependent correction (peak‑to‑peak amplitudes of ~260″ in pitch and ~36″ in yaw) was applied to account for flexure of the gondola. Validation via stacking of BLAST maps at the positions of >1,000 VLA 1.4 GHz sources showed that the stacked peak aligns within 2″ of the catalog positions, and a χ² analysis of the stacked point‑spread function (PSF) constrained any random jitter to <5″ rms.

Optical performance improved markedly over the earlier BLAST05 flight thanks to a new aluminum primary mirror and an in‑flight focusing system. Measured noise‑equivalent flux densities (NEFDs) are 8.8, 4.8, and 2.7 MJy sr⁻¹ s¹ᐟ² for the three bands, matching the pre‑flight prediction of 220 mJy s¹ᐟ² when expressed in point‑source terms. The 250 µm beam exhibits modest side‑lobes, containing 76 % of the power within the main Gaussian component; the 350 µm and 500 µm beams contain >92 % and >95 % respectively.

In summary, BLAST06 achieved its design goals: absolute flux calibration better than 10 % (with inter‑band correlations yielding much higher relative precision), pointing accuracy better than 5″ rms, and optical/detector sensitivities consistent with expectations. The successful use of VY CMa as a primary calibrator, together with robust post‑flight pointing reconstruction, demonstrates that balloon‑borne submillimeter platforms can deliver high‑precision photometry and astrometry comparable to space‑based missions. These results provide a solid foundation for future large‑area submillimeter surveys, for cross‑calibration with facilities such as Herschel, SCUBA‑2, and ALMA, and for advancing our understanding of dust‑enshrouded star formation in both Galactic and extragalactic environments.


Comments & Academic Discussion

Loading comments...

Leave a Comment