A complete 12CO 2--1 map of M51 with HERA: II. Total gas surface densities and gravitational stability

A complete 12CO 2--1 map of M51 with HERA: II. Total gas surface   densities and gravitational stability
Notice: This research summary and analysis were automatically generated using AI technology. For absolute accuracy, please refer to the [Original Paper Viewer] below or the Original ArXiv Source.

To date the onset of large-scale star formation in galaxies and its link to gravitational stability of the galactic disk have not been fully understood. The nearby face-on spiral galaxy M51 is an ideal target for studying this subject. This paper combines CO, dust, HI, and stellar maps of M51 and its companion galaxy to study the H2/HI transition, the gas-to-dust ratios, and the stability of the disk against gravitational collapse. We combine maps of the molecular gas using 12CO 2–1 map HERA/IRAM-30m data and HI VLA data to study the total gas surface density and the phase transition of atomic to molecular gas. The total gas surface density is compared to the dust surface density from 850 micron SCUBA data. Taking into account the velocity dispersions of the molecular and atomic gas, and the stellar surface densities derived from the 2MASS K-band survey, we derive the total Toomre Q parameter of the disk. The gas surface density in the spiral arms is approximately 2-3 higher compared to that of the interarm regions. The ratio of molecular to atomic surface density shows a nearly power-law dependence on the hydrostatic pressure P_hydro. The gas surface density distribution in M51 shows an underlying exponential distribution with a scale length of h_gas=7.6 kpc representing 55% of the total gas mass, comparable to the properties of the exponential dust disk. In contrast to the velocity widths observed in HI, the CO velocity dispersion shows enhanced line widths in the spiral arms compared to the interarm regions. The contribution of the stellar component in the Toomre Q-parameter analysis is significant and lowers the combined Q-parameter Q_tot by up to 70% towards the threshold for gravitational instability. The value of Q_tot varies from 1.5-3 in radial averages. A map of Q_tot shows values around 1 on the spiral arms.


💡 Research Summary

The paper presents a comprehensive multi‑wavelength analysis of the nearby, nearly face‑on spiral galaxy M51 and its companion, with the aim of elucidating how large‑scale star formation is linked to the gravitational stability of galactic disks. The authors combine a high‑resolution (≈12″) 12CO (2‑1) map obtained with the HERA multi‑pixel receiver on the IRAM‑30 m telescope, VLA HI 21 cm data, SCUBA 850 µm dust continuum imaging, and 2MASS K‑band near‑infrared observations. From the CO data they derive a molecular‑hydrogen surface density map (Σ_H2) using a spatially varying CO‑to‑H2 conversion factor that accounts for metallicity gradients. The HI data provide the atomic‑hydrogen surface density (Σ_HI), and the sum Σ_gas = Σ_H2 + Σ_HI yields the total gas surface density across the entire disk.

The dust surface density (Σ_dust) is extracted from the SCUBA map, allowing the authors to compute the gas‑to‑dust ratio (G/D) on kiloparsec scales. They find that the gas and dust each follow an exponential radial profile with a scale length of about 7.6 kpc, accounting for roughly 55 % of the total gas mass. The remaining mass is concentrated in the spiral arms, where Σ_gas is 2–3 times higher than in the inter‑arm regions.

A key result concerns the phase transition from atomic to molecular gas. By estimating the mid‑plane hydrostatic pressure (P_hydro) from Σ_gas, the stellar surface density (Σ_* derived from the K‑band map), and the gas velocity dispersions, the authors demonstrate that the molecular‑to‑atomic surface density ratio follows a near‑power‑law dependence on pressure, Σ_H2/Σ_HI ∝ P_hydro^α with α ≈ 0.9. This empirical relation matches theoretical expectations that higher pressure environments promote H2 formation.

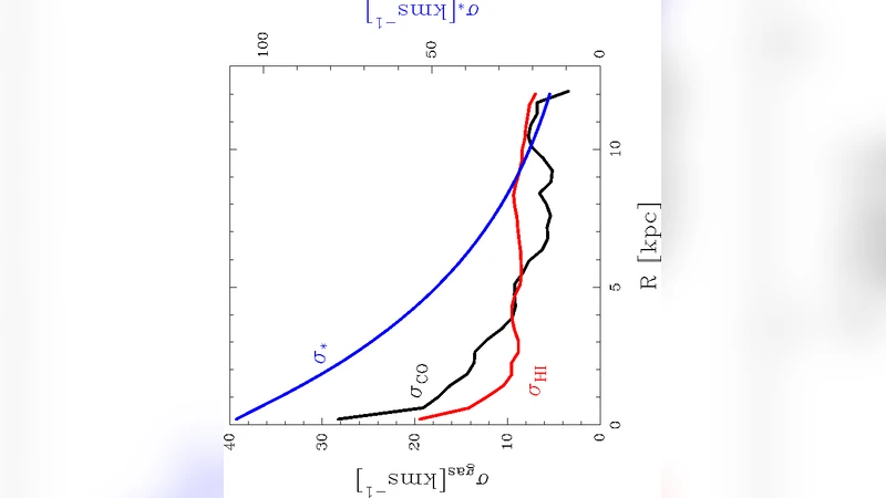
Velocity dispersion measurements reveal distinct behavior for the two gas phases. The HI line width remains relatively uniform (≈12 km s⁻¹) across the disk, whereas the CO line width is enhanced in the spiral arms (σ_CO ≈ 8–10 km s⁻¹), indicating that molecular clouds experience additional turbulence or heating where they encounter spiral shocks.

To assess gravitational stability, the authors compute Toomre Q parameters for the stellar component (Q_*), the molecular gas (Q_H2), and the atomic gas (Q_HI) using the epicyclic frequency κ derived from the observed rotation curve. The combined, multi‑component stability parameter is then obtained as

 Q_tot ≈ (1/Q_* + 1/Q_H2 + 1/Q_HI)⁻¹.

Including the stellar contribution dramatically lowers Q_tot, by up to 70 % in the spiral arms, bringing the value close to the critical threshold Q ≈ 1. Radial averages of Q_tot lie between 1.5 and 3, but a pixel‑by‑pixel map shows values near unity precisely along the bright spiral arms, implying that those regions are marginally unstable and therefore prone to collapse and star formation.

The study also confirms that the gas‑to‑dust ratio remains fairly constant (G/D ≈ 100–120) between arm and inter‑arm zones, suggesting a relatively uniform metallicity and dust production/destruction balance across the disk.

In summary, the paper delivers a detailed, quantitative picture of how gas surface density, pressure‑driven molecular fraction, and stellar mass together shape the gravitational stability of M51. The findings support a scenario in which spiral‑induced pressure enhancements convert atomic gas into molecular form, increase the molecular velocity dispersion, and, together with the stellar gravitational field, reduce the Toomre Q parameter to values near unity in the arms. This combination creates the conditions for large‑scale star formation. The methodology—integrating CO, HI, dust, and stellar data to compute a multi‑component Q map—provides a powerful template for similar analyses of other nearby galaxies, advancing our understanding of the physical triggers of star formation on galactic scales.


Comments & Academic Discussion

Loading comments...

Leave a Comment