A Bayesian approach to the study of white dwarf binaries in LISA data: The application of a reversible jump Markov chain Monte Carlo method

A Bayesian approach to the study of white dwarf binaries in LISA data:   The application of a reversible jump Markov chain Monte Carlo method
Notice: This research summary and analysis were automatically generated using AI technology. For absolute accuracy, please refer to the [Original Paper Viewer] below or the Original ArXiv Source.

The Laser Interferometer Space Antenna (LISA) defines new demands on data analysis efforts in its all-sky gravitational wave survey, recording simultaneously thousands of galactic compact object binary foreground sources and tens to hundreds of background sources like binary black hole mergers and extreme mass ratio inspirals. We approach this problem with an adaptive and fully automatic Reversible Jump Markov Chain Monte Carlo sampler, able to sample from the joint posterior density function (as established by Bayes theorem) for a given mixture of signals “out of the box’’, handling the total number of signals as an additional unknown parameter beside the unknown parameters of each individual source and the noise floor. We show in examples from the LISA Mock Data Challenge implementing the full response of LISA in its TDI description that this sampler is able to extract monochromatic Double White Dwarf signals out of colored instrumental noise and additional foreground and background noise successfully in a global fitting approach. We introduce 2 examples with fixed number of signals (MCMC sampling), and 1 example with unknown number of signals (RJ-MCMC), the latter further promoting the idea behind an experimental adaptation of the model indicator proposal densities in the main sampling stage. We note that the experienced runtimes and degeneracies in parameter extraction limit the shown examples to the extraction of a low but realistic number of signals.


💡 Research Summary

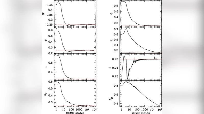
The paper tackles one of the most demanding data‑analysis problems posed by the Laser Interferometer Space Antenna (LISA): the simultaneous presence of thousands of Galactic double‑white‑dwarf (DWD) signals together with tens to hundreds of other astrophysical sources (binary black‑hole mergers, extreme‑mass‑ratio inspirals, etc.) and instrumental noise. Traditional pipelines that first identify candidate events and then estimate their parameters become inefficient in such a crowded, highly degenerate environment. To address this, the authors develop an adaptive, fully automatic Reversible Jump Markov Chain Monte Carlo (RJ‑MCMC) sampler that treats the total number of signals as an additional unknown parameter alongside the usual physical parameters of each source and the noise level.

The methodology rests on a strict Bayesian formulation: the posterior probability density for the entire model (including the model dimension) is sampled directly. The RJ‑MCMC algorithm implements “birth”, “death”, “split”, and “merge” moves that allow the chain to jump between models with different numbers of DWDs. A key innovation is the experimental adaptation of the model‑indicator proposal densities during the main sampling stage, which improves acceptance rates and mitigates the notorious low‑efficiency problem of trans‑dimensional MCMC.

For validation, the authors use data from the LISA Mock Data Challenge (MDC) that incorporate the full Time‑Delay Interferometry (TDI) response, colored instrumental noise, and realistic foreground/background confusion noise. Three illustrative cases are presented. In the first two, the number of DWDs is fixed and a conventional MCMC is employed to recover the eight parameters per source (amplitude, frequency, phase, polarization angle, sky location, etc.). In the third case, the number of sources is unknown; the RJ‑MCMC sampler simultaneously explores the model space and the continuous parameter space.

The results demonstrate that even in the presence of colored noise and overlapping foreground/background components, the sampler can successfully extract a modest but realistic set of monochromatic DWD signals (typically 5–10 sources) with high fidelity. Posterior distributions for frequency and amplitude are tightly constrained, while sky‑position and phase parameters exhibit the expected degeneracies. The authors note, however, that the current implementation suffers from long runtimes (tens of hours per analysis) and reduced sampling efficiency due to strong parameter correlations. Consequently, the presented examples are limited to a low number of sources, far below the thousands expected in the full LISA data set.

The discussion outlines several avenues for future improvement. First, a more systematic, possibly hierarchical, adaptation of the proposal densities could further boost acceptance probabilities and reduce autocorrelation times. Second, parallelisation strategies—such as running multiple chains on GPUs or distributed clusters—are essential to scale the method to the full LISA data volume. Third, incorporating astrophysical priors (e.g., Galactic DWD population models) could guide the sampler toward more plausible regions of model space, thereby accelerating convergence. Finally, the authors envision extending the global‑fitting approach to include other source classes (binary black‑hole mergers, EMRIs) within a unified RJ‑MCMC framework, ultimately delivering a comprehensive Bayesian inference engine for LISA.

In summary, this work provides a proof‑of‑concept that reversible‑jump MCMC can be harnessed for simultaneous detection and parameter estimation of multiple overlapping gravitational‑wave sources in LISA data. While computational challenges remain, the adaptive RJ‑MCMC strategy represents a promising path toward the fully Bayesian, global analysis required for the next generation of space‑based gravitational‑wave astronomy.


Comments & Academic Discussion

Loading comments...

Leave a Comment