Resource Allocation and Relay Selection for Collaborative Communications

We investigate the relay selection problem for a decode and forward collaborative network. Users are able to collaborate; decode messages of each other, re-encode and forward along with their own messages. We study the performance obtained from colla…

Authors: Saeed Akhavan Astaneh, Saeed Gazor

Resource Allocation and Relay Selection for Collaborative Communications
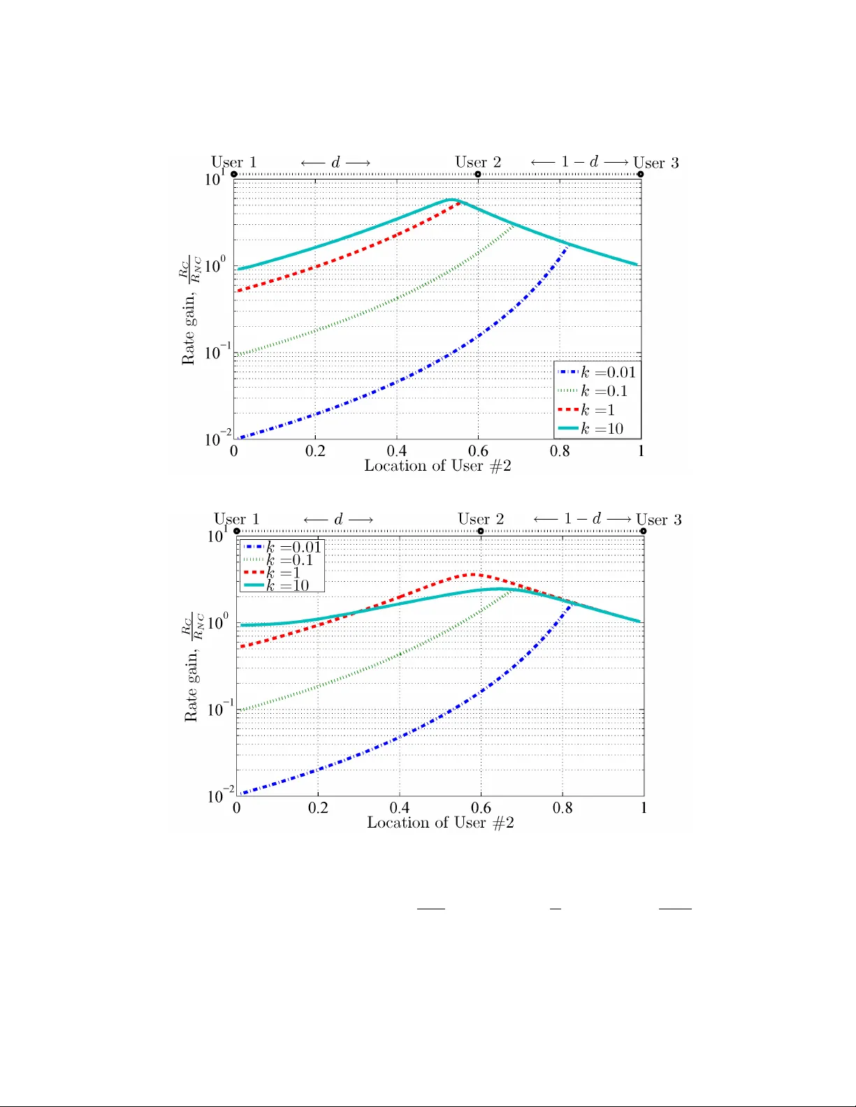
1 Resource Allocation and Relay Selection for Collaborati v e Communications Saeed Akha v an Astaneh, Saeed Gazor Abstract W e in vestigate the relay selection problem for a decode and forward collaborati ve network. Users are able to collaborate; decode messages of each other , re-encode and forward along with their own messages. W e study the performance obtained from collaboration in terms of 1) increasing the achie vable rate, 2) saving the transmit energy and 3) reducing the resource requirement (resource means time- bandwidth). T o ensure fairness, we fix the transmit-energy-to-rate ratio among all users. W e allocate resource optimally for the collaborativ e protocol (CP), and compare the result with the non-collaborati ve protocol (NCP) where users transmits their messages directly . The collaboration gain is a function of the channel gain and a vailable energies and allows us 1) to decide to collaborate or not, 2) to select one relay among the possible relay users, and 3) to determine the in volv ed gain and loss of possible collaboration. A considerable gain can be obtained if the direct source-destination channel gain is significantly smaller than those of alternati ve in volved links. W e demonstrate that a rate and energy improv ement of up to  1 + η q k k +1  η can be obtained, where η is the en vironment path loss exponent and k is the ratio of the rates of in volv ed users. The gain is maximum for low transmit-ener gy-to-recei ved-noise-ratio (TERN) and in a high TERN en vironment the NCP is preferred. Index T erms Collaboration, relay selection, resource allocation, rate improvement, energy saving, resource ef fi- ciency . I . I N T RO D U C T I O N In wireless networks, the main interrelated quantities are achie v able rate, consumed transmit energy and efficienc y of resource. Many recent results [1]–[5] show that collaboration among Authors are with the Department of Electrical and Computer Engineering, Queen’ s University , Kingston, Ontario K7L 3N6, Canada, s.gazor, astaneh@queensu.ca. July 20, 2018 DRAFT 2 Fig. 1. A collaborative network, the channel energy gain between i th and j th user is denoted by h ij . Consider three scenarios: 1) the 1 st and the 2 nd users transmit to the 3 rd user , 2) the 1 st user transmit to the 3 rd user and the 2 nd user broadcasts to the 3 rd and the 4th users, 3) the 1 st to the 3 rd , the 2 nd and the 3 rd to the 4th. users in wireless networks may increase the rate, sa ve on the energy or reduce the resource requirement. Ho we ver , this is not tri vial whether collaboration offers benefit. Here, we ask the question: When collaboration is beneficial?, what are the in volved gain or loss from possible collaboration?, and ho w to selection one relay among the possible candidates? In order to answer the questions, we consider a network of two users (source and relay) intending to send independent information to a destination (See Figure I, the 1 st scenario). W e propose that the relay user assists the source user only if in a fair way , the collaboration offers benefit in terms of rate, ener gy or resource. Here, the notion of fairness means that the achiev able rates of dif ferent users would be proportional to their energy lev els. This implies that the ratio of achie vable rate ov er transmit energy for all users are the same. First, we e v aluate the ef fect of collaboration on system performance. Then, we present our relay selection protocol for a general network where we select only one relay user among the possible candidates. In this paper , we e xtend the results of [6], [7] to the case where rates are not necessarily the same and users are imposed to ha ve fixed ratio of rate over energy . Most of the e xisting CPs assume implicitly that a relay is already chosen. In contrary , one might choose only one best relay to assist in the transmission. Sev eral protocols have been proposed to choose the best relay among the potential relay users. Some protocols aim to improve symbol or frame error rate of such a network. Among them, [8], [9] considered symbol error rate of such system where the former studied an amplify-and-forward network and the latter proposed a decode and forward relaying protocol, whereas [10] considered frame error rate of a DRAFT July 20, 2018 3 coded cooperati ve system. Energy consumption and network lifetime is considered in [11]–[13]. [11], [12] studied decode-and-forward networks and presented se veral distrib uted relay selection protocol whereas [13] proposed selectiv e amplify-and-forward relaying protocols. Di versity gain and outage probability ha ve been proposed in relay selection protocols [14]–[18]. While [14]–[17] in vestigated decode-and-forward and amplify-and-forward network, [18] proposed beamforming to forward data to the destination. Howe ver , in some literature the problem of optimal po wer allocation, relay and relay strategy selection was jointly tackled, using the pricing technique [19], auction theory [20] or con vex optimization [21]. In this paper , we study a netw ork of users where all users hav e independent information to send to corresponding destinations. W e first aim to answer the question: What are the in volv ed gains or losses from possible collaboration? In order to answer , we consider a network of three users(See Figure I, the 1 st scenario), source, relay and destination, and ev aluate the gain of collaboration. W e consider a resource allocation problem and study it from three different perspectiv e: 1) rate improv ement for a gi ven energy and resource requirement, 2) energy reduction for a giv en rate and resource requirement, and 3) resource ef ficiency for a gi ven rate and energy requirement. Then, we are able to answer the follo wing question: Depending on channel gain and transmit energy , when does collaboration offer benefit? W e also demonstrate the condition for when users obtain maximum gain from collaboration. W e characterize the geometrical conditions under which collaboration is of benefit. Later , we relax the constraint on the number of relay users, and for each case, we present a relay selection protocol. W e then move onto a general network topology and e xamine the proposed protocols in a netw ork where users may wish to communicate with different destinations. The remainder of the paper is organized as follo ws. W e present the system model and the protocols in Section II. In Section III we study single relay netw orks and in vestigate the rate, energy and resource improvement from possible collaboration. W e then provide conditions on the location of the relay user for collaboration to be beneficial. In Section IV, we present our relay selection protocols. Extensions to the to the general network with multiple source and relay topology are discussed in Section V. Finally , in Section VI we giv e our concluding remarks. July 20, 2018 DRAFT 4 I I . S Y S T E M M O D E L A N D P R OT O C O L S Consider the first scenario in Figure I, where we assume that the 1 st and 2 nd wish to transmit independent messages respecti vely with rates R 1 and R 2 to the 3 rd user over an additiv e white Gaussian noise channel (A WGN) and the 2 nd user may also assist the 1 st user to transmit its messages to the 3 rd user . Let denote the energy gain of the communication link between the i th and j th user by h ij . W e assume that the gain of all the channel links are perfectly known to the recei vers and transmitters. W e also assume that users transmit via a resource division protocol where the i th user can transmit over a portion β i of av ailable resource. When the users collaborate, the network is a multi-hopping network where one user receiv es the messages of another user and forwards the decoded messages to the intended recei ver as well as its own messages. Otherwise, they form a multiple access channel, i.e., they transmit directly to the receiver via a resource sharing method. Follo wing [7], the resource in this paper is defined as the product of used time and the used bandwidth, i.e. B × T . The recei ved ener gy to noise ratio within the resource slot β i B T can be expressed as h ij E i N β i B T , where E i denotes the transmit ener gy of the i th user and N denotes the recei ved noise power . Unless otherwise stated, we consider a case where the av ailable resource B T to be unit, i.e. B T = 1 . Let define the ratio of transmit ener gy to receiv ed noise po wer (TERN) as  i = E i N . Thus, the achiev able rate for is given by R i = β i log  1 + h ij  i β i  . (1) Generally , transmitting at higher energy le vels results in higher rates. Howe ver we wish to maximize the achiev able rates of all users. Similar to [22], [23], we impose the following constraint in order to maintain the fairness, R 2 R 1 =  2  1 def = k . (2) This constraint ensures fairness among users as the energy spent by users is proportional to their demand for rate. The special case of k = 1 is studied in [6], [7]. W e consider a half-duplex communication network where each user can either transmit or recei ve (but not both) at any time and any frequency band. Throughout this paper , we consider two follo wing communication protocols: DRAFT July 20, 2018 5 • Non Collaborative protocol where users transmit directly to the destination via a resource (time and frequency) division method. • Collaborative protocol where ov er the first resource slot, the 1 st user transmits its message and the 2 nd user decodes the message of the 1 st user . Then, o ver the 2 nd resource slot, the 2 nd user re-encodes the decoded message of the 1 st user in conjunction with its o wn message, the 2 nd message, and broadcasts the encoded message. I I I . C O L L A B O R A T I O N I N S I N G L E R E L A Y N E T W O R K S In the following we study some properties of proposed protocols and in vestigate upper and lo wer bounds for achiev able rates. A. Non-Collaborative Pr otocol (NCP) In this protocol, during 1 st portion of resource slot, i.e. β 1 , the 1 st user transmits its message. The receiv er , the 3 rd user , may be able to decode this message correctly for a maximum rate of R 1 = β 1 log  1 + h 13  1 β 1  . In a similar manner , the maximum rate of the 2 nd user which could be decoded reliably at the 3 rd user is R 2 = β 2 log  1 + h 23  2 β 2  . Since, we assume that one unit of resource is a v ailable, i.e., β 1 + β 2 = 1 , hereafter , we denote  1 def =  ,  2 = k  , β 1 def = β and β 2 = 1 − β . Hence, we get the following optimization problem for NCP: R NCP = max β ( R 1 ( β ) + R 2 (1 − β )) s.t. R 2 R 1 = k (3) where R NCP is the achiev able sum rate of users and R 1 ( β ) = β log  1 + h 13  β  and R 2 (1 − β ) = (1 − β ) log  1 + h 23 k 1 − β  . Since R 1 ( β ) and R 2 (1 − β ) are increasing and decreasing function of β , respectiv ely , the solution of the above optimization is the unique solution of the following R NCP = ( k + 1) β log  1 + h 13  β  (4) = k + 1 k (1 − β ) log  1 + h 23 k  1 − β  B. Collaborative pr otocol (CP) In this protocol, ov er the 1 st portion of the resource slot, i.e. β , the 1 st user transmits its messages at rate R 1 . During this time, The 3 rd user is switched off and thus ignores the received July 20, 2018 DRAFT 6 signal from the 1 st user . The 2 nd user attempts to decode the messages of the 1 st user . Hence, the maximum achie vable rate for the 1 st user is e xpressed as R 1 = β log  1 + h 12  β  where,  denotes the TERN of the first user . Over the remaining portion of resource slot, i.e. 1 − β , the 2 nd user re-encodes the decoded messages of the 1 st user and transmits the messages of the 1 st user as well as its o wn messages to the intended destination. In fact, during this time, the 2 nd user must transmit at rate of k +1 k R 2 to accommodate both data. The maximum achiev able rate which may be decoded reliably at the 3 rd user is R 2 = k (1 − β ) k +1 log  1 + h 23 k 1 − β  . This yields the follo wing max-min resource allocation problem: R CP = max β ( R 1 ( β ) + R 2 (1 − β )) s.t. R 2 R 1 = k (5) where R CP is the achiev able sum rate of users which will be compared with R NCP . In a similar way , the optimal solution is the unique solution of the following equation with respect to β : R CP = ( k + 1) β log  1 + h 12  β  = (1 − β ) log  1 + h 23 k  1 − β  . (6) C. Rate Impr ovement for Given Resour ce and Ener gy In this section, we define the collaboration gain as the ratio of achiev able sum rate of the CP to that of the NCP , i.e., R CP R NCP . This ratio represents the achiev able sum rate improv ement of of these protocols. W e deriv e tight upper and lower bounds and study the asymptotic behavior of the collaboration gain at lo w and high TERN and rate ratio. Since R 1 ( β ) and R 2 (1 − β ) are increasing and decreasing con vex and continuous functions of β , respectiv ely , the maximization (4) is guaranteed to hav e a unique solution. Unfortunately , this solution has no closed form expression. In Appendix A, we deri ve the following upper and lo wer bounds for these achie v able rates: R NCP < log(1+ h 13 ( k +1)  ) “ 1 − 1 1+ h 13 ( k +1)  − log(1+ h 13 ( k +1)  ) ” + k log(1+ h 23 ( k +1)  ) “ 1 − 1 1+ h 23 ( k +1)  − log(1+ h 23 ( k +1)  ) ” ( k +1) “ 1 − 1 1+ h 13 ( k +1)  − log(1+ h 13 ( k +1)  ) ” + k ( k +1) “ 1 − 1 1+ h 23 ( k +1)  − log(1+ h 23 ( k +1)  ) ” (7a) R NCP > 1 k log (1 + k h 23  ) log (1 + h 13  ) 1 k log (1 + k h 23  ) + log (1 + h 13  ) (7b) These bound are tight for high TERN  → ∞ ; this is the case where the noise power is negligible compared with the receiv ed signal powers. In high TERN regime, the av ailable resource is DRAFT July 20, 2018 7 allocated to the users receiv e in proportion with their rate demands, i.e., lim  →∞ β = 1 k +1 . The lo wer bound in (7b) is obtained the intersection point of the two lines connecting end points of the rate curves. Using the same approach, we can find the following bounds for the achiev able sum-rate of the CP R CP < log(1+ h 12 ( k +1)  ) “ 1 − 1 1+ h 12 ( k +1)  − log(1+ h 12 ( k +1)  ) ” + ( k +1)log ( 1+ h 23 k ( k +2) k +1  ) “ 1 − 1 1+ h 23 ( k +1)  − log ( 1+ h 23 k ( k +2) k +1  ) ” k +2 “ 1 − 1 1+ h 12 ( k +1)  − log(1+ h 12 ( k +1)  ) ” + ( k +1)( k +2) 1 − 1 1+ h 23 k ( k +2) k +1  − log ( 1+ h 23 k ( k +2) k +1  ) ! (8a) R CP > 1 k +1 log (1 + k h 23  ) log (1 + h 12  ) 1 k +1 log (1 + k h 23  ) + log (1 + h 12  ) . (8b) which are tight in the high TERN re gime. Since (7a) and (8b), it is easy to see that lim  →∞ R CP R NCP ≥ k +1 k +2 . In addition, from (8a) and (7b), we can see that lim  →∞ R CP R NCP ≤ k +1 k +2 . Thus lim  →∞ R CP R NCP = k +1 k +2 . Thus the sum rate gain k +1 k +2 is smaller than one in the high TERN regime; this means that where large amount of recei ved energy to noise ratio is a v ailable the collaborativ e schemes are not attractiv e. In Appendix A, we also deriv e the following tight bounds for the low TERN regime (small v alues of  ) R NCP >  2 h 23 +2 h 13 − h 2 13  − kh 2 23  − q 4( h 23 − h 13 ) 2 +  2 ( h 2 13 + kh 2 23 ) 2 +4  ( h 23 − h 13 ) ( h 2 13 − kh 2 23 ) 4 . (9a) R NCP < min  log (1 + h 13  ) , 1 k log (1 + k h 23  )  ≤  min { h 13 , h 23 } . (9b) In addition, the achiev able rate is also lo wer bounded by two end points of the curves, i.e. This upper bound is tight for the low TERN regime, i.e. where the receiv ed signal is dominated by noise power . From the abov e, we conclude that lim  → 0 + R NCP  = min { h 13 , h 23 } . (10) Similar to the non-collaborativ e case, we derive the following upper and lo wer bounds for CP: R CP < min  log(1 + h 12  ) , 1 k +1 log(1 + k h 23  )  ≤  min  h 12 , k k +1 h 23  (11a) R CP >  2 kh 23 k +1 +2 h 12 − h 2 12  − h 2 23 k 2  k +1 − r 4 ( kh 23 k +1 − h 12 ) 2 +  2 “ h 2 12 + ( kh 23 k +1 ) 2 ” 2 +4  ( kh 23 k +1 − h 12 )( h 2 12 − ( kh 23 k +1 ) 2 ) 4 (11b) July 20, 2018 DRAFT 8 Thus, we conclude that lim  → 0 + R CP  = min { h 12 , k k + 1 h 23 } . (12) By combining (10) and (12), we get the follo wing result lim  → 0 + R CP R NCP = min  h 12 , k k +1 h 23  min { h 13 , h 23 } . (13) In addition, It is easy to show that R CP R NCP is always smaller than min { h 12 , k k +1 h 23 } min { h 13 ,h 23 } , i.e. R CP R CP ≤ min { h 12 , k k +1 h 23 } min { h 13 ,h 23 } . This means that the rate gain can be greater than unity only if h 13 ≤ min { h 12 , h 23 k k +1 } . In this case, the maximum rate gain (min { h 12 h 13 , h 23 k +1 k h 13 } ) is only achiev able in low TERN re gime. No w , we examine the collaborativ e gain when the rate ratio is large. It is easy to see that for large k , the optimal β , which is either the solution of (4) or (6), tends to zero, i.e. β → 0 . This implies that more resource should be allocated to the higher demanding user . Hence, it is easy to show that lim k →∞ log( k ) k R NCP = lim k →∞ log( k ) k R CP = 1 . Then, it follows that lim k →∞ R CP R NCP = 1 (14) On the other hand, if k tends to zero (where the rates of the 1 st user is larger than the rate of the 2 nd user), the optimal β for NCP tends to unity , while for CP tends to zero. Thus, the collaborati ve gain for small values of k , i.e. k → 0 , is lim k → 0 + 1 k R CP R NCP = h 23  log (1 + h 13  ) . (15) It follo ws that for small enough rate ratio the achiev able rate of NCP is strictly greater than that of CP , i.e, R NCP > R NCP . D. Ener gy Saving for Given Capacity and Resour ce In the following, we are interested in quantifying the advantage of the collaboration in terms of energy sa ving. This is in contrast to the pre vious section where the rate is maximized pro vided a fixed amount of av ailable energy . Here, we assume that each user require some specified rate R i and has to allocate TERN proportional to R i . In order to meet these rate requirements, users may collaborate (or not) to use av ailable resource efficiently . Giv en a unit of shared resource, DRAFT July 20, 2018 9 we minimize the TERN as follows CP :    min  CP , s.t. R = β log  1 + h 12  CP β  = 1 − β k log  1 + h 23 k CP 1 − β  (16a) NCP :    min  NCP , s.t. R = β log  1 + h 13  CP β  = 1 − β k +1 log  1 + h 23 k CP 1 − β  . (16b) Since the rates in (3), (5) are monotonically increasing functions of TERN, thus, it is easy to sho w that optimization problem (16) is the dual of (3) and (5). This means that under similar channel gains, the TERN collaboration gain (i.e., the ratio of TERN in NCP to that of collaborati ve one  CP  CP ) obtained from (16) is the same as the rate collaboration gain from (3) and (5). More specifically from this duality , we conclude that  NCP  CP ≤ min  h 12 , k k +1 h 23  min { h 13 , h 23 } . (17) Similarly , the maximum gain is obtained when the rate demand is small, i.e., as R → 0 . E. Resour ce Efficiency for Given Capacity and Ener gy In the follo wing, we compare the CP and the NCP in terms of the resource usage. W e assume that the 1 st and 2 nd user require rates R and k R under TERN constraints of  and k  , respectiv ely . The used resource x is the solution of R = x log  1 + h x  ≤ h for a specific rate R and a gi ven amount of energy . Note that we ha ve feasible solution only if R ≤  min { h 13 , h 23 } for the NCP and R ≤  min { h 12 , h 23 k k +1 } for the CP . As the required rates approach these upper bounds the resource usage tends to infinity . F . Effect of Network Geometry In the following, we in vestigate the impact of the location of the relay user on the collaboration gain. In particular , we assume that the signal attenuation is governed by geometry of users as h ij = 1 d ij η on two dimensional plane, where d ij denotes the distance between the i th and j th users. While Cai, Y ao and Giannakis [24] examined the achiev able minimum energy per bit to in vestigate the optimal relay placement, here, we focus on collaboration gain and look for the best relay user and protocol which maximizes the collaboration gain, i.e. ratio of achiev able rate or transmitted ener gy or resource, via CP to that of NCP . Our objecti ve is to understand July 20, 2018 DRAFT 10 the impact of users relati ve locations on the collaboration gain. T o this end, we in vestigate the region where transmission via collaboration provides more gain and determine the optimal relay user placement for the proposed protocols. W e sho w that when the relay user is in the vicinity of the source and destination users, collaboration is preferred. W e also sho w that the maximum rate and energy gain of  1 + η q k k +1  η can be obtained. W e assume that in the two dimensional plane, the source, relay and destination are located on ( − 1 2 , 0) , ( x, y ) and ( 1 2 , 0) , respectiv ely . Plugging the channel gains as 1 d η and 1 (1 − d ) η into the equations (4) and (6), we obtain the rate improv ement of both protocols as a function of geometry of relay user . Figure 2 depicts the region where collaboration pro vide more benefit, i.e. the rate of CP is more than that of the NCP . This figure also depicts the contours of rate gain, where the ratio of achie v able rate of protocols is fixed numbers (we plotted for the rate gains of 1, 2 and 4). W e observe that as the rate ratio k increases the collaboration contours enlarge. Further increasing the rate ratio, the gain contours reduces. It implies that if the users with middle rate demand hav e incenti ve to collaborate with other users. Since the channel gains are symmetric in two dimensional space, it is clear that the optimal relay user lies on the line connecting the source to the destination. W e observe that the gain contours are approximately the intersections of tw o arcs with the radii ( g c ) 1 /η and  k +1 k g c  1 /η with g c being g c = R CP R NCP . In order to find the optimal placement of the relay user we examine the equation (13). It is easy to see that the optimal location is d = 1 1 +  k k +1  1 /η (18) where at that point the following maximum rate gain is achiev able R CP R NCP ≤ 1 + η r k k + 1 ! η . (19) Figure 4 presents the rate improv ement from CP and NCP protocols versus the rate ratio of users k . W e observe that for small rate ratio, the rate improvement is zero and for large values of k , the rate improv ement tends to unity . Figure 5 depicts the resource gain of the CP compared with NCP , i.e. β NCP β CP (20), for a required rate of 0 . 5 h 13  versus location of the relay node. W e observe that for a gi ven required rate, depending on the relay channel condition, the resource gain is greater than unity . W e hav e noticed that for small rate ratio k , CP provides more gain in terms of resource usage. In addition, DRAFT July 20, 2018 11 for small rate ratio, the best location for relay user is almost in the vicinity of the source and destination user . Figure 6 shows the energy gain of the CP compared with the NCP , i.e.  NCP  CP (16), for a gi ven required rate of R = 0 . 09 h 13 versus the location of the relay node. Employing the CP , we obtain significant energy sa vings ev en for η = 3 , provided that the relay is located appropriately . In contrast to the rate and energy gain, we observe that for higher rate ratio (see Figure 5), users benefit less in terms of resource ef ficiency . W e deduce that only users which are interested in resource efficienc y , with less rate requirement, can gain from possible collaboration. I V . C O L L A B O R AT I O N I N M U LT I P L E R E L AY N E T W O R K S In the follo wing, we propose our relay selection protocols based on the collaboration gain which is introduced in previous section. W e use the channel gains to select one relay among the av ailable relay users to participate in collaboration. W e note that if the NCP outperforms the collaborativ e one, we fall back on the NCP , i.e. no relay user would be selected and the source sends its information to the destination directly . Otherwise, the source employs one relay in forwarding its information to the destination. The main objectiv e of the proposed protocols are to achiev e higher collaboration gain, higher rate improvement, energy sa ving or resource ef ficiency while guaranteeing fairness for all users. A. Relay Selection: Rate Impr ovement and Ener gy Saving First, we consider the rate improv ement as a criterion to select the best relay . As sho wn in pre vious section, the ener gy minimization problem is dual of the rate maximization problem, hence the relay selection protocol holds for the energy saving as well. The result in (13) is very intuitiv e and suggests a strategy in deciding to use collaborate and to choose a relay user among the potential candidates. Giv en the full CSI, collaboration protocol is preferred if   1 and h 13  min { h 12 , h 23 k k +1 } . In order to maximize the rate gain, the best relay user is the one that maximizes the min { h 12 ,h 23 k k +1 } h 13 . The results in (14) and (15) also provide an attracti ve guideline that for lo w and high rate ratio, non CP is preferred. W e obtain the collaboration gain for different channel gains. The simulation result shows that for some values of the rate ratio k , the collaboration gain is more than unity which for that case, collaboration provides gain. July 20, 2018 DRAFT 12 The equation (18) implies that the best relay user , in order to maximize the rate gain, is located in the vicinity of the source and destination user . W e observe that under se vere path loss, users benefit more from the proposed collaboration relati ve to direct transmission. Ochiai, Mitran and T arokh [5] sho wed the same result in the context of di versity gain which is not in the scope of this paper . This result also appears very attractiv e that, in contrast to traditional multi-hopping, appropriately designed collaboration can pro vide a significant rate gain. Figures 3(a) and 3(b) confirm the above results. This indicates that the best location for the relay user is in the vicinity of the midpoint between the transmitter and the receiv er pair . This means that by appropriately selecting the relay user , we ef ficiently take adv antage of the geometrical distribution of users. The optimal location of the relay is almost characterized by (13), which serves for relay selection. Note that by selecting one relay , the multiple relay network becomes a single relay network. Thus, the exact rate improvement or ener gy saving can be examined as in (6), (4) and (16). B. Relay Selection: Resour ce Efficiency No w , we address resource efficienc y and the objectiv e is to select a relay user among the potential candidates and to decide wether to collaborate or not. W e propose the follo wing procedure: • Feasibility check: W e compare R with  min { h 13 , h 23 } for the NCP and with  min { h 12 , h 23 k k +1 } for the CP . Then, we ignore the protocol which is not feasible. • Resource usage: If both are feasible, we must choose the protocols with the least resource usage. The resource usages β NCP and β CP are the solutions of    R = β 1 , NCP log  1 + h 13  β 1 , NCP  = β 2 , NCP k log  1 + h 23  β 2 , NCP  , β NCP = β 1 , NCP + β 2 , NCP , (20a)    R = β 1 , CP log  1 + h 12  β 1 , CP  = β 2 , CP k +1 log  1 + h 23  β 2 , CP  , β CP = β 1 , CP + β 2 , CP . (20b) • Collaborator selection: Similarly , we can use the resource usages for the criterion to select the collaborator among multiple feasible candidates. V . C O L L A B O R AT I O N I N G E N E R A L N E T W O R K S W e can e xtend the proposed protocols to the multiple relay netw orks, where more than one user are a v ailable to relay the messages of a source to ward the destination. As we ha ve sho wn here, we DRAFT July 20, 2018 13 focus on one relay system and look for the best user to serve as relay to maximize the achie vable rate, minimize the energy consumption or utilize the a v ailable resource more efficiently . T o this end, we provide a rough guideline that if h i,j  1 , often the CP outperforms the NCP . Otherwise, if a fixed rate is required, the feasibility of different scenarios must be verified. Among feasible solutions, we must choose the protocol and relays which provide maximum rate, or maximize savings on resource (20) or on energy (16). For CP , a relay among possible candidates must be selected which maximizes min { h 23 k / ( k + 1) , h 12 }  h 13 . For example, suppose that in Figure I the 1 st user wishes to send data to the 3 rd user , while the 2 nd user wishes to broadcast independent messages to the 3 rd and 4 th users. Using this guideline, the 2 st user can collaborate with the 1 nd user via acting as relay (the more information, the more incenti ve to collaborate). In this e xample the 3 rd user has no data to send and thus, ironically , has no incentiv e to collaborate. So the 2 nd user should send his data directly to the 4th user . So far , we hav e assumed the same destination for both transmissions. W e might relax this constraint easily . For example in Figure I, suppose that the 1 st user wishes to send messages to the 3 rd user and the 2 nd and 3 rd users wish to send messages to the 4th user . Using the CP , the 2 nd user can act as the relay between the 1 st and 3 rd users and the 3 rd user acts as the relay between the 2 nd and 4th users. W e ha ve shown that collaboration hav e the potential to increase the rate gain of the users by a factor of at most  1 + η q k k +1  η . This result shows that appropriately choosing the relay user and collaboration protocol considerably sa ve the transmit energy , and also reduce interference amongst the users. This allows more users to transmit simultaneously , which increases the o verall network throughput. Our proposed protocols not only impro ves rate, energy or resource utilization of the in v olved users, but also hav e the potential to decrease the overall interference of the network. W e hav e sho wn that collaboration can mitigate the effects of path loss, thus, users can sav e transmit ener gy . This sa ving reduces interference among users which allo ws to increase density of users in the network through resource reusing. V I . C O N C L U S I O N W e used rate, energy and resource usage as criteria for collaboration and relay user selection. W e found the conditions under which the collaboration is preferred for all users. Interestingly , the g ain users from collaboration in v arious terms (increase their achiev able rate, reduce their July 20, 2018 DRAFT 14 transmit ener gy or use resources more efficiently) can be more significant at low TERN, where the background noise is strong. Clearly , if the background noise is very weak, the collaboration is less attracti ve. The relati ve geometrical location of users (i.e., channel responses) must be considered in the relay selection. V ery simple criteria are proposed for relay selection. If the relay is in the vicinity between the source and the destination, collaboration can of fer good performance. A maximum rate gain (as well ass energy saving gain) of up to  1 + η q k k +1  η can be obtained provided that a collaboration is established with an appropriately located relay , where η is the en vironment path loss exponent. Furthermore, we present sev eral protocols on ho w to select the best relay among the possible candidates to maximize the cooperation gain. A P P E N D I X W e refer for a similar proof for the special case of k = 1 in [6]. W e use the first-order T aylor series approximation at point 1 k +1 for R 1 ( β ) and R 2 (1 − β ) . The intersection point of the approximate lines giv es an upper bound for achiev able capacity for the NCP . The coordinates of this intersection point are giv en by β = 1 k + 1 + 1 k +1 log  1+( k +1) h 23  1+( k +1) h 13   log ((1 + ( k + 1) h 23  ) (1 + ( k + 1) h 13  )) − ( k +1) h 13  1+( k +1) h 13  − ( k +1) h 23  1+( k +1) h 23  (21) and (7a). T o find a lo wer bound, we can approximate functions in (4) by their second order T aylor series v ersus  and obtain R NC ≥ max { h 13  − h 2 13  2 2 β , h 23  − kh 2 23  2 2(1 − β ) } . T o find a tight bound we solve ( h 23 − h 13 ) β 2 +  h 2 13  2 + kh 2 23  2 + h 13 − h 23  β − h 2 13  2 = 0 . This quadratic equation has only one feasible solution in the interval [0 , 1] . This bound is described by (9a) and (22). β = h 23 − h 13 − kh 2 23 2 − h 2 13 2 + s „ h 23 − h 13 − kh 2 23 2 − h 2 13 2 « 2 +2( h 23 − h 13 ) h 2 13 2( h 23 − h 13 ) (22) R E F E R E N C E S [1] A. Sendonaris, E. Erkip, and B. Aazhang, “User cooperation div ersity . part I. system description, ” IEEE T rans. Commun. , vol. 51, no. 11, pp. 1927–1938, 2003. [2] ——, “User cooperation diversity . part II. implementation aspects and performance analysis, ” IEEE T rans. Commun. , vol. 51, no. 11, pp. 1939–1948, 2003. [3] J. Laneman, D. Tse, and G. W ornell, “Cooperative diversity in wireless networks: Efficient protocols and outage behavior , ” IEEE T rans. Inf. Theory , vol. 50, no. 12, pp. 3062–3080, 2004. DRAFT July 20, 2018 15 [4] C. Ng, N. Jindal, A. Goldsmith, and U. Mitra, “Capacity gain from two-transmitter and two-recei ver cooperation, ” IEEE T rans. Inf. Theory , v ol. 53, no. 10, pp. 3822–3827, 2007. [5] H. Ochiai, P . Mitran, and V . T arokh, “V ariable-rate two-phase collaborati ve communication protocols for wireless netw orks, ” IEEE T rans. Inf. Theory , vol. 52, no. 9, pp. 4299–4313, 2006. [6] S. A. Astaneh and S. Gazor , “Collaborativ e gain in resource sharing communication networks, ” Arxiv preprint arXiv:0712.0392 , 2007. [7] ——, “Joint protocol and relay node selection in collaborative networks, ” 2008 24th Biennial Symposium on Communica- tions , pp. 162–165, 2008. [8] Y . Zhao, R. Adve, and T . Lim, “Improving amplify-and-forward relay networks: optimal power allocation versus selection, ” IEEE T rans. W ir eless Commun. , vol. 6, no. 8, pp. 3114–3123, 2007. [9] A. Ibrahim, A. Sadek, W . Su, and K. Liu, “Cooperati ve communications with relay-selection: When to cooperate and whom to cooperate with?” IEEE T rans. W ireless Commun. , vol. 7, no. 7, 2008. [10] Z. Lin, E. Erkip, and A. Stefanov , “Cooperativ e regions and partner choice in coded cooperative systems, ” IEEE T rans. Commun. , vol. 54, no. 7, pp. 1323–1334, 2006. [11] M. Chen, S. Serbetli, and A. Y ener , “Distributed power allocation strategies for parallel relay networks, ” IEEE T rans. W ireless Commun. , vol. 7, no. 2, pp. 552–561, 2008. [12] Z. Zhou, S. Zhou, J.-H. Cui, and S. Cui, “Energy-ef ficient cooperativ e communication based on power control and selectiv e single-relay in wireless sensor networks, ” IEEE T rans. W ir eless Commun. , vol. 7, no. 8, pp. 3066–3078, August 2008. [13] W . Huang, Y . Hong, and C. Kuo, “Lifetime maximization for amplify-and-forward cooperati ve networks, ” IEEE T rans. W ireless Commun. , vol. 7, no. 5 Part 2, pp. 1800–1805, 2008. [14] A. Bletsas, A. Khisti, D. Reed, and A. Lippman, “ A simple cooperative diversity method based on network path selection, ” IEEE J. Sel. Ar eas Commun. , vol. 24, no. 3, pp. 659–672, March 2006. [15] A. Bletsas, H. Shin, and M. W in, “Cooperativ e communications with outage-optimal opportunistic relaying, ” IEEE T rans. W ireless Commun. , vol. 6, no. 9, pp. 3450–3460, 2007. [16] E. Beres and R. Adve, “Selection cooperation in multi-source cooperativ e networks, ” IEEE T rans. W ir eless Commun. , vol. 7, no. 1, pp. 118–127, 2008. [17] A. Nosratinia and T . Hunter , “Grouping and partner selection in cooperativ e wireless networks, ” IEEE J. Sel. Areas Commun. , vol. 25, no. 2, p. 369, 2007. [18] R. Madan, N. Mehta, A. Molisch, and J. Zhang, “Energy-efficient cooperativ e relaying ov er fading channels with simple relay selection, ” IEEE T rans. W ir eless Commun. , vol. 7, no. 8, pp. 3013–3025, August 2008. [19] T . C.-Y . Ng and W . Y u, “Joint optimization of relay strategies and resource allocations in cooperativ e cellular networks, ” IEEE J. Sel. Ar eas Commun. , vol. 25, no. 2, pp. 328–339, February 2007. [20] J. Huang, Z. Han, M. Chiang, and H. Poor , “ Auction-based resource allocation for cooperative communications, ” IEEE J. Sel. Areas Commun. , vol. 26, no. 7, pp. 1226–1237, September 2008. [21] L. Le and E. Hossain, “Cross-layer optimization framew orks for multihop wireless networks using cooperativ e div ersity , ” IEEE T rans. W ir eless Commun. , vol. 7, no. 7, 2008. [22] F . Meshkati, D. Guo, H. Poor , and S. Schwart, “ A unified approach to power control in lar ge energy-constrained cdms systems, ” IEEE T rans. W ireless Commun. , vol. 7, no. 4, pp. 1208–1216, 2008. [23] D. Goodman and N. Mandayam, “Power control for wireless data, ” IEEE T rans. W ir eless Commun. , vol. 7, no. 2, pp. 48–54, 2000. July 20, 2018 DRAFT 16 [24] X. Cai, Y . Y ao, and G. Giannakis, “ Achievable rates in low-po wer relay links over fading channels, ” IEEE T rans. Commun. , vol. 53, no. 1, 2005. DRAFT July 20, 2018 17 (a) (b) Fig. 2. Contours of the rate gain R CP R NCP (4), (6) versus relay ( 2 nd user) location ( x, y ) for  = 0 . 01 , h ij = 1 d η ij and η = 3 , (a) k = 0 . 1 , (b) k = 10 . July 20, 2018 DRAFT 18 (a) (b) Fig. 3. Ef fect of the relay location d on rate improvement R CP R NCP (4), (6) for h 12 = 1 d η , h 13 = 1 , h 23 = 1 (1 − d ) η , for η = 2 , k = 0 . 01 , 0 . 1 , 1 and 10 , respectiv ely , and dif ferent TERN v alues (a)  = 0 . 01 , and (b)  = 0 . 1 . DRAFT July 20, 2018 19 Fig. 4. Effect of rate ratio k on rate improv ement, R CP R NCP , (4), (6), for h 12 = 1 d η , h 13 = 1 , h 23 = 1 (1 − d ) η for a fixed relay location d = 0 . 5 for η = 3 and and dif ferent TERN v alues  = 0 . 01 , 0 . 1 and 1 . Fig. 5. Ratio of resource usage in CP and NCP β NCP β CP (20) for h 12 = 1 d η , h 13 = 1 and h 23 = 1 (1 − d ) η versus relay location d for a required rate of R = 0 . 5 h 13  , η = 3 and h 13  = 0 . 01 , and k = 1 , 10 and 100 . July 20, 2018 DRAFT 20 Fig. 6. Ratio of energy usage in CP and NCP  NCP  CP (16) for h 12 = 1 d η , h 13 = 1 , h 23 = 1 (1 − d ) η and η = 3 versus relay location d for unit resource and a gi ven required rate of R = h 13 / 100 , (a) k = 0 . 01 , 0 . 1 , 1 and 10 . DRAFT July 20, 2018

Original Paper

Loading high-quality paper...

Comments & Academic Discussion

Loading comments...

Leave a Comment