A Computational Analysis of Galactic Exploration with Space Probes: Implications for the Fermi Paradox

A Computational Analysis of Galactic Exploration with Space Probes:   Implications for the Fermi Paradox
Notice: This research summary and analysis were automatically generated using AI technology. For absolute accuracy, please refer to the [Original Paper Viewer] below or the Original ArXiv Source.

Temporal explanations to the Fermi paradox state that the vast scale of the galaxy diminishes the chances of establishing contact with an extraterrestrial technological civilization (ETC) within a certain time window. This argument is tackled in this work in the context of exploration probes, whose propagation can be faster than that of a colonization wavefront. Extensive computational simulations have been done to build a numerical model of the dynamics of the exploration. A probabilistic analysis is subsequently conducted in order to obtain bounds on the number of ETCs that may be exploring the galaxy without establishing contact with Earth, depending on factors such as the number of probes they use, their lifetime and whether they leave some long-term imprint on explored systems or not. The results indicate that it is unlikely that more than ~10^2-10^3 ETCs are exploring the galaxy in a given Myr, if their probes have a lifetime of 50 Myr and contact evidence lasts for 1 Myr. This bound goes down to ~10 if contact evidence lasts for 100 Myr, and is also shown to be inversely proportional to the lifetime of probes. These results are interpreted in light of the Fermi paradox and are compatible with non-stationary astrobiological models in which a few ETCs have gradually appeared in the Fermi-Hart timescale.


💡 Research Summary

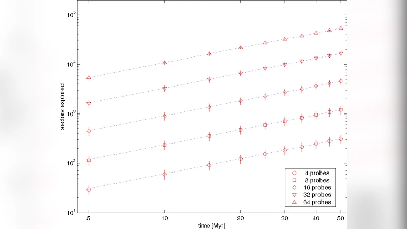
The paper addresses a temporal variant of the Fermi paradox by explicitly modelling how fast‑moving exploration probes could spread through the Milky Way, and by quantifying how many independent extraterrestrial technological civilizations (ETCs) might be conducting such exploration without leaving detectable evidence on Earth. The authors construct a Monte‑Carlo simulation in which the Galaxy is discretised into 10⁴ cells, each populated with a probability that matches the observed stellar density gradient (high near the Galactic centre, low in the outskirts). Probes are launched from high‑density regions and travel at an assumed speed of roughly 0.1 c, giving an inter‑cell travel time of about 10 kyr. Upon arrival at a new cell a probe can “replicate” – producing between 10 and 100 daughter probes – thereby creating a wave‑like front that expands geometrically rather than linearly.

Three key parameters are varied: (i) probe lifetime L (10, 30, 50, and 100 Myr), (ii) the number of daughter probes per replication event, and (iii) the duration Tₑ of any “contact imprint” left behind (e.g., artificial satellites, beacons, or physical artefacts). The imprint duration represents the window during which another civilization could detect the probe’s presence. For each combination the simulation records the number of distinct ETCs that would be required to sustain a galaxy‑wide probe front while still respecting the observational constraint that Earth has seen no such imprint.

The results reveal a simple inverse relationship: the maximum number of simultaneously active ETCs, Nₑ, scales roughly as 1/(L·Tₑ). With a probe lifetime of 50 Myr and an imprint lasting only 1 Myr, the model predicts that at any given Myr no more than 10²–10³ ETCs could be exploring the Galaxy without us noticing. Extending the imprint lifetime to 100 Myr collapses this bound to roughly ten civilizations. Conversely, shortening probe lifetimes to 10 Myr raises the upper bound by a factor of about five, because more independent civilizations would be needed to keep the exploration front alive. The replication factor (10–100 daughters per visit) accelerates the wave front, allowing it to traverse the Galactic disc in 30–40 Myr—significantly faster than classic colonisation models that assume a few light‑year per Myr expansion speed.

The authors also explore the impact of catastrophic astrophysical events (e.g., supernovae, gamma‑ray bursts) that could abruptly curtail probe lifetimes. In simulations where such events truncate L, the permissible Nₑ can climb to 10³–10⁴, illustrating how environmental volatility can relax the constraints.

In the discussion, the authors compare the “probe‑driven exploration wave” to the traditional colonisation wave often invoked in Fermi‑paradox arguments. Because probes can move orders of magnitude faster than slow‑expanding colonies, the absence of any detectable artefacts on Earth is more striking under the probe scenario. The paper therefore outlines three mutually compatible explanations for the silence: (1) probes have lifetimes too short for a galaxy‑wide front to have reached us yet; (2) any contact imprint they leave is fleeting (≤1 Myr) and thus easily missed; or (3) the actual number of ETCs capable of launching such probes is extremely low (on the order of 10–100). These conclusions dovetail with non‑stationary astrobiological models that posit a gradual emergence of technological species over the Hart–Fermi timescale, rather than a steady‑state galaxy teeming with civilizations.

Overall, the study provides a quantitative framework linking probe durability, replication strategy, and imprint longevity to the upper limits on active extraterrestrial explorers, thereby sharpening the statistical side of the Fermi paradox while highlighting the crucial role of probe technology and galactic hazards.


Comments & Academic Discussion

Loading comments...

Leave a Comment