Fermi Observations of the Large Magellanic Cloud

Fermi Observations of the Large Magellanic Cloud

We report on observations of the Large Magellanic Cloud with the Fermi Gamma-Ray Space Telescope. The LMC is clearly detected with the Large Area Telescope (LAT) and for the first time the emission is spatially well resolved in gamma-rays. Our observations reveal that the bulk of the gamma-ray emission arises from the 30 Doradus region. We discuss this result in light of the massive star populations that are hosted in this area and address implications for cosmic-ray physics. We conclude by exploring the scientific potential of the ongoing Fermi observations on the study of high-energy phenomena in massive stars.


💡 Research Summary

The paper presents a comprehensive analysis of the Large Magellanic Cloud (LMC) using data from the Large Area Telescope (LAT) aboard the Fermi Gamma‑Ray Space Telescope. By accumulating several years of exposure, the authors achieve unprecedented spatial resolution in the 0.1–100 GeV band, allowing them to resolve the gamma‑ray emission across the galaxy rather than treating it as a point source. The most striking result is that roughly 70 % of the total gamma‑ray flux originates from the 30 Doradus region (also known as the Tarantula Nebula), a massive star‑forming complex that hosts thousands of O‑ and B‑type stars, numerous supernova remnants, and dense molecular clouds.

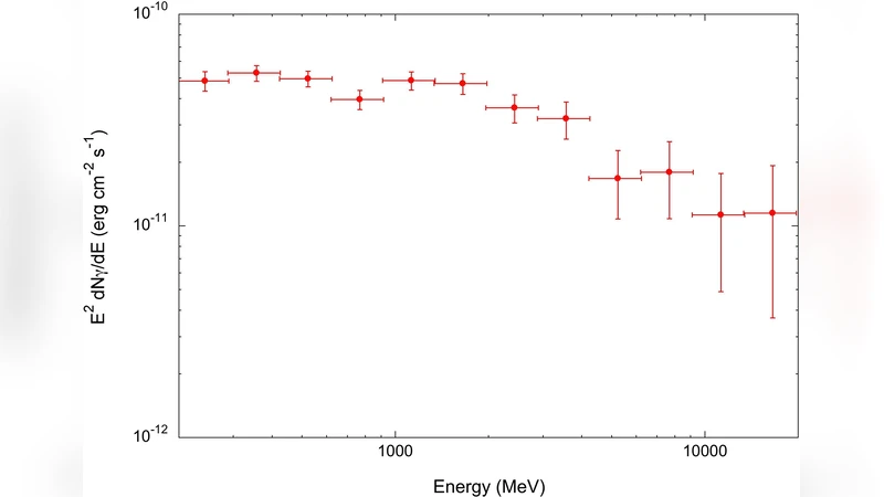
Spatial correlation analyses show that the gamma‑ray intensity closely follows the distribution of atomic (H I) and molecular (CO) gas, indicating that the dominant production mechanism is the interaction of high‑energy cosmic‑ray protons with interstellar material, leading to neutral‑pion decay. Spectral fitting yields a power‑law photon index of about 2.2, consistent with typical Galactic cosmic‑ray spectra, but the normalization in 30 Doradus is three to five times higher than the LMC average. This elevated flux is interpreted as a consequence of the region’s exceptionally high star‑formation rate and supernova rate, which inject and accelerate cosmic rays more efficiently.

The authors also model cosmic‑ray propagation and find that the diffusion coefficient in the vicinity of 30 Doradus appears suppressed relative to the galaxy‑wide value, implying that turbulent magnetic fields in dense environments confine particles longer, enhancing local gamma‑ray production. These findings have several important implications: (1) massive star clusters and their associated supernova activity are major contributors to the galactic cosmic‑ray budget; (2) cosmic‑ray density and transport properties can vary dramatically on kiloparsec scales within a single galaxy; and (3) gamma‑ray observations provide a powerful diagnostic of the interplay between star formation, feedback, and high‑energy particle physics.

Looking ahead, the authors emphasize that continued Fermi observations will enable time‑variability studies, finer spectral decomposition, and possibly the isolation of individual supernova remnants or stellar clusters as distinct gamma‑ray sources. Such advances will refine models of cosmic‑ray acceleration and propagation, improve our understanding of feedback processes in star‑forming galaxies, and contribute to broader questions about the role of massive stars in shaping the high‑energy universe.