Soliton solutions of the KP equation and application to shallow water waves

Soliton solutions of the KP equation and application to shallow water   waves
Notice: This research summary and analysis were automatically generated using AI technology. For absolute accuracy, please refer to the [Original Paper Viewer] below or the Original ArXiv Source.

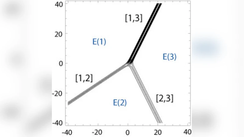
The main purpose of this paper is to give a survey of recent development on a classification of soliton solutions of the KP equation. The paper is self-contained, and we give a complete proof for the theorems needed for the classification. The classification is based on the Schubert decomposition of the real Grassmann manifold, Gr$(N,M)$, the set of $N$-dimensional subspaces in $\mathbb{R}^M$. Each soliton solution defined on Gr$(N,M)$ asymptotically consists of the $N$ number of line-solitons for $y\gg 0$ and the $M-N$ number of line-solitons for $y\ll 0$. In particular, we give the detailed description of those soliton solutions associated with Gr$(2,4)$, which play a fundamental role of multi-soliton solutions. We then consider a physical application of some of those solutions related to the Mach reflection discussed by J. Miles in 1977.


💡 Research Summary

The paper presents a comprehensive classification of soliton solutions of the Kadomtsev‑Petviashvili (KP) equation by exploiting the geometry of the real Grassmannian manifold Gr$(N,M)$ and its Schubert cell decomposition. The authors begin by recalling that the KP‑I equation models weakly nonlinear, weakly dispersive waves in two spatial dimensions, with applications ranging from shallow‑water surface waves to plasma dynamics. Traditional $N$‑soliton constructions, based on Hirota’s bilinear method, produce symmetric configurations and do not capture the full variety of possible interactions. To overcome this limitation, the authors embed each KP soliton into a point of Gr$(N,M)$, i.e., an $N$‑dimensional subspace of $\mathbb{R}^M$, and then use the Schubert stratification of the Grassmannian to organize the solutions.

A key technical device is the $\tau$‑function written as a Wronskian determinant of exponential phases. For a given $N\times M$ matrix $A$ of full rank and a set of wave numbers ${k_i}_{i=1}^M$, the $\tau$‑function takes the form
\


Comments & Academic Discussion

Loading comments...

Leave a Comment