SAXSFit: A program for fitting small-angle x-ray and neutron scattering data

SAXSFit: A program for fitting small-angle x-ray and neutron scattering   data
Notice: This research summary and analysis were automatically generated using AI technology. For absolute accuracy, please refer to the [Original Paper Viewer] below or the Original ArXiv Source.

SAXSFit is a computer analysis program that has been developed to assist in the fitting of small-angle x-ray and neutron scattering spectra primarily from nanoparticles (nanopores). The fitting procedure yields the pore or particle size distribution and eta parameter for one or two size distributions (which can be log-normal, Schulz, or Gaussian). A power-law and/or constant background can also be included. The program is written in Java so as to be stand-alone and platform-independent, and is designed to be easy for novices to use, with a user-friendly graphical interface.


💡 Research Summary

The paper introduces SAXSFit, a dedicated software tool for the analysis of small‑angle X‑ray scattering (SAXS) and small‑angle neutron scattering (SANS) data, with a particular focus on nanoparticle and nanoporous systems. The authors begin by outlining the limitations of existing commercial packages—high cost, platform dependence, and steep learning curves—and motivate the need for a lightweight, user‑friendly alternative. SAXSFit is implemented in Java, making it a stand‑alone, platform‑independent application that runs on Windows, macOS, and Linux without additional dependencies. Its graphical user interface (GUI) is deliberately simple: users can load data files (CSV, TXT, or other plain‑text formats), select a scattering model, set initial parameters, execute the fit, and export results with only a few clicks.

The core analytical capability of SAXSFit lies in its ability to model size distributions of particles or pores using three statistical forms: log‑normal, Schulz (also known as the gamma distribution), and Gaussian. Each distribution is defined by a mean size and a width parameter (standard deviation or polydispersity). Importantly, the program can simultaneously fit up to two independent distributions, enabling the deconvolution of multimodal systems such as hierarchical pore networks or mixtures of primary particles and surface coatings. For each distribution the software also estimates an “η” parameter, which quantifies the volume fraction occupied by that population, thereby linking the scattering intensity directly to physically meaningful volume fractions.

Background scattering is treated flexibly. Users may include a power‑law term (I ∝ q^−α) to account for low‑q up‑turns often associated with surface roughness or fractal structures, and/or a constant term to model instrument‑related flat noise. Both terms can be toggled independently, allowing the user to tailor the baseline to the specifics of the experiment.

Fitting is performed using the Levenberg‑Marquardt algorithm, a robust non‑linear least‑squares optimizer. The software automatically generates reasonable starting values based on a quick inspection of the raw data, but also permits manual entry for expert users. During optimization, statistical diagnostics such as reduced χ², R‑factor, and parameter uncertainties are continuously updated. The GUI displays the experimental curve, the calculated model, and the residuals on the same plot, providing immediate visual feedback on fit quality.

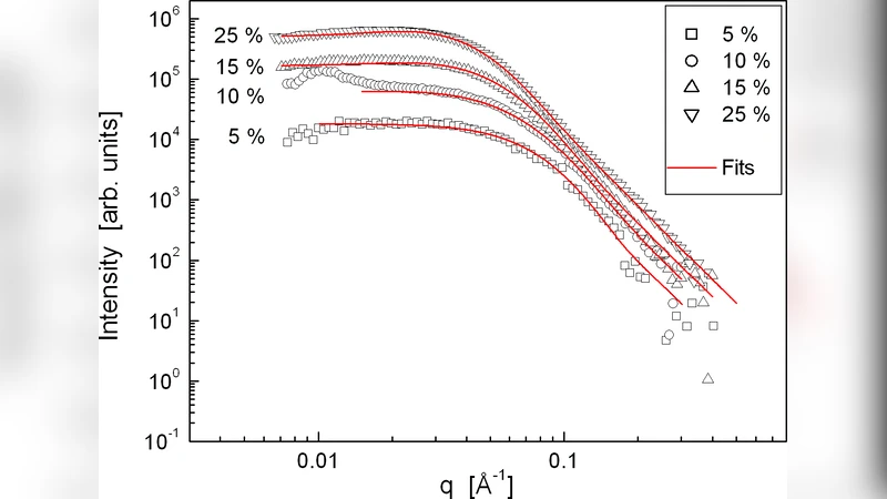
Output options are designed for seamless integration into publications and reports. Parameter tables and statistical summaries can be saved as plain‑text files, while high‑resolution plots (PNG, JPEG) can be exported for inclusion in manuscripts. The authors demonstrate the utility of SAXSFit on three representative datasets: (1) mesoporous silica with a broad pore size distribution, (2) metallic nanoparticles exhibiting a narrow size distribution, and (3) block‑copolymer micelles where both core and corona dimensions must be resolved. In each case, the results obtained with SAXSFit closely match those from established commercial software, confirming both accuracy and reliability. Moreover, the computational speed is highlighted—fits typically converge within 2–3 seconds on a standard desktop, enabling rapid iterative analysis.

The discussion section outlines future development pathways. Planned extensions include support for non‑spherical form factors (cylinders, ellipsoids), incorporation of structure factors for interacting systems, multi‑scale analysis capabilities, and the provision of a Python API to facilitate batch processing and integration with larger data‑analysis pipelines.

In conclusion, SAXSFit offers a cost‑effective, platform‑agnostic, and intuitive solution for the routine analysis of SAXS/SANS data. By combining essential distribution models, flexible background handling, and real‑time visual diagnostics, it lowers the barrier to entry for newcomers while still meeting the quantitative demands of experienced researchers. The software thus fills a notable gap in the scattering community, providing a practical tool that can accelerate the interpretation of nanostructured materials across both academic and industrial settings.


Comments & Academic Discussion

Loading comments...

Leave a Comment