Accelerated Option Pricing in Multiple Scenarios

This paper covers a massive acceleration of Monte-Carlo based pricing method for financial products and financial derivatives. The method is applicable in risk management settings, where a financial p

Accelerated Option Pricing in Multiple Scenarios

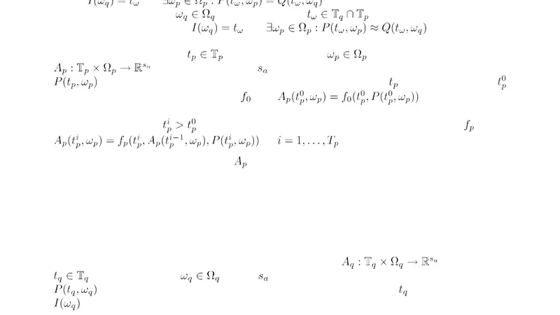
This paper covers a massive acceleration of Monte-Carlo based pricing method for financial products and financial derivatives. The method is applicable in risk management settings, where a financial product has to be priced under a number of potential future scenarios. Instead of starting a separate nested Monte Carlo simulation for each scenario under consideration, the new method covers the utilization of very few representative nested simulations and estimating the product prices at each scenario by a smoothing method based on the state-space. This smoothing technique can be e.g. non-parametric regression or kernel smoothing.


📜 Original Paper Content

🚀 Synchronizing high-quality layout from 1TB storage...