Sum Capacity of the Gaussian Interference Channel in the Low Interference Regime

New upper bounds on the sum capacity of the two-user Gaussian interference channel are derived. Using these bounds, it is shown that treating interference as noise achieves the sum capacity if the interference levels are below certain thresholds.

Authors: V. Sreekanth Annapureddy, Venugopal V. Veeravalli

Sum Capacity of the Gaussian Interference Channel in the Low   Interference Regime
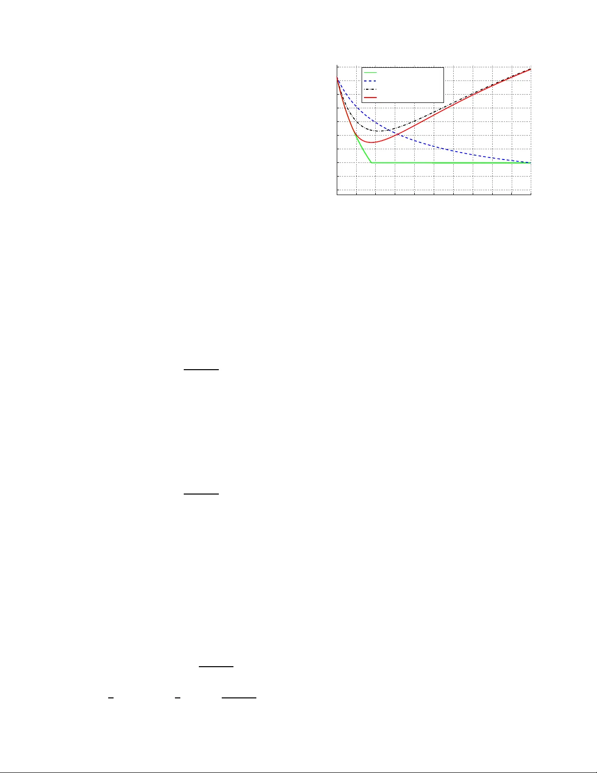
Proceedings of IT A W orksho p, San Diego, CA, Jan-Feb, 2008. Sum Capacity of the Gaussian Interfere nce Channel in the Lo w Interference Re g ime V . Sreekanth Annapuredd y an d V enu gopal V eeravalli Coordinated Science Labo ratory Departmen t of E lectrical and Comp uter Enginee ring University of Illino is at Urban a-Champa ign vannapu2@uiuc.e du, vvv@uiuc.ed u Abstract — New upper bounds on the sum capacity of th e two-user Gaussian interference c hannel are deriv ed. Using these bounds, it is sho wn that trea ting interference a s noise achie ves the sum capacity if the interfer ence lev els ar e below certa in thresholds. I . I N T RO D U C T I O N Interfer ence is a f undam ental issue in the d esign of c om- munication networks, pa rticularly wireless n etworks. Unlike thermal noise, interfer ence has a stru cture since it is gene rated by other users. Can this structure be exploited to decrease the uncertainty and thus improve the perfor mance of th e commun ication network? If so, what are the o ptimal signa lling strategies? In this paper, we sh ow th at exploiting the structu re of the in terferenc e in a two-user Gaussian interfer ence channel does not improve the overall system through put in th e lo w in- terfer e nce r egime . In o ther words, one ca n tr eat inter ference as noise and can still achieve the maximu m po ssible throug hput, if the inter ference levels are b elow certain thre sholds. The capacity r egion of the two-user Gaussian interference channel is known in the str o ng interfer ence setting [1], [2], [3], where it is s hown that each user can decode the infor mation transmitted to the other user , an d in the tri vial ca se when there is no interference. The su m capacity of the interference channel is known for the one- sided interferen ce chan nel (also called the Z-Channel) [4], [5], [6], where treating interfer ence as no ise achieves th e sum capacity , and the degraded inter- ference channel [7 ],[5], where one user treats interference as noise and the other u ser doe s in terferen ce can celation. Establishing the capacity region for a gen eral two-user Gaussian inter ference chan nel still remains a n open problem . The best kn own achiev able strategy is the Han-Kobayashi scheme [2], where each u ser splits th e inf ormation into p riv ate and common p arts. The commo n messag es are decod ed at both the r eceivers, thereb y reduc ing the le vel of inter ference. Although Chong, Motani and Garg hav e rec ently derived a simple rep resentation of the Han -K obayashi achiev able region [8], it still remains fo rmidab le to co mpute. In [6], the capacity region of a general tw o-user Gaussian interferen ce chann el is determined to within one bit by com- paring a special case of the Han -K obayashi scheme to th e outer bounds der iv ed in [4] an d [6]. The concept of a genie- aided chann el is used in der iving the o uter boun ds, wher e th e receivers ar e p rovided with side information b y a genie. The side info rmation is chosen in such a way as to facilitate the computatio n of the capa city region o f th e g enie-aided cha nnel, which is an o bvious o uter boun d to th e capacity region of the interferen ce chann el. In this paper , we tighten the outer bound o n th e sum capacity derived in [6]. In a low interferen ce regime, we establish the existence of a genie, which results in a g enie-aide d chann el whose sum cap acity can be comp uted, and yet does not improve up on the sum c apacity of the inte rference chann el. Thus, we establish the sum capacity of the two-user G aussian interferen ce channel in this low interfer ence regime, where the inter ference p arameters are below certain p re-comp utable thresholds. In this regime, we further establish that it is op timal for the r eceivers to emp loy single u ser d ecoders that treat the interferen ce as no ise. I I . I N T E R F E R E N C E C H A N N E L M O D E L The two-user Gaussian inter ference channel that we stud y in this p aper is in th e standard for m [9], [2]. Over one sym bol period the chan nel is descr ibed by Y 1 = X 1 + h 12 X 2 + Z 1 Y 2 = X 2 + h 21 X 1 + Z 2 (1) with inpu ts X 1 , X 2 , and co rrespon ding outp uts Y 1 , Y 2 . The receiver noise terms Z 1 and Z 2 are assumed to be in depend ent, zero-mea n, unit v ariance Gaussian random v ariables, and the interferen ce par ameters h 12 and h 21 are assumed to be real number s. The transmit power constraints o n users 1 and 2 are P 1 and P 2 , r espectively . The noise ter ms are assumed to be indepen dent and identically distributed (i.i.d. ) in time. For each user i , let th e message index ( m i ) be unifo rmly distributed over { 1 , 2 , . . . , 2 nR i } and C i ( n ) be a cod e con- sisting of an enco ding fu nction X n i : { 1 , 2 , . . . , 2 nR i } → R n satisfying the power constra int || X n i ( m i ) || 2 ≤ nP i , ∀ m i ∈ { 1 , 2 , . . . , 2 nR i } and a decoding func tion g i : R n → { 1 , 2 , . . . , 2 nR i } . The correspo nding probab ility of decoding err or λ i ( n ) defined as Pr [ m i 6 = g i ( Y n i )] . A rate p air ( R 1 , R 2 ) is said to be achievable if there exists a sequence o f codes {C 1 ( n ) , C 2 ( n ) } such that the error probab ilities λ 1 ( n ) and λ 2 ( n ) g o to z ero as n goes to infinity . A. Notation The variables S 1 and S 2 denote the side info rmation giv en to receivers 1 and 2 , resp ectiv ely . The variables X 1 G and X 2 G denote zero-mean Gaussian random v ariables with variances P 1 and P 2 , resp ectiv ely . The variables Y 1 G , S 1 G , Y 2 G and S 2 G denote the Gau ssian ou tputs and side information that resu lt when th e channel inputs are Gaussian, i.e., when X 1 = X 1 G and X 2 = X 2 G . I I I . S Y M M E T R I C I N T E R F E R E N C E C H A N N E L The essential ideas and resu lts of this paper are cap tured in the symmetric interference channel, fo r which P 1 = P 2 = P and h 12 = h 21 = h . For this chann el we shall establish the following result. Theor em 1: For the symmetric inter ference c hannel, if the interferen ce param eter h satisfies the con dition | h + h 3 P | ≤ . 5 (2) then tr eating in terferen ce as noise a chieves the sum capacity , which is given by C sum = log  1 + P 1 + h 2 P  A. Existing Bound s A n atural way to deal with interfere nce between users is to treat interference as noise if the interference is weak , and to ortho gonalize the users if the interferenc e is mo derate. Therefo re, the sum capa city of the symmetric in terferenc e channel is easily seen to be lower bou nded as: C sum ≥ log  1 + P 1 + h 2 P  (3) C sum ≥ log (1 + 2 P ) (4) The op timality of either of these simple strategies is not clear and has n ot been established p reviously . Mo re sophisticated strategies such as sp litting power into private and co mmon messages, wh ich require mu ltiuser deco ders and knowledge of the interfer ing users’ co deboo ks, have been pr oposed by Han and Kobayashi [2]. A simplified version of the Han-Kobayashi strategy was recently s hown to prod uce an achiev able region that is with in one bit of th e capacity region [6]. Regarding u pper bound s o n the sum capacity , genie-b ased arguments have b een used in [ 4], [6] to obtain the fo llowing: C sum ≤ log  1 + h 2 P + P 1 + h 2 P  (5) C sum ≤ 1 2 log (1 + P ) + 1 2 log  1 + P 1 + h 2 P  (6) 0 0.1 0.2 0.3 0.4 0.5 0.6 0.7 0.8 0.9 1 1.8 2 2.2 2.4 2.6 2.8 3 3.2 3.4 3.6 h 2 Sum Rate Lower Bounds Z Channel Upper Bound One Bit Upper Bound New Upper Bound Fig. 1. Bounds on the sum capaci ty , P = 10 dB The upper bound gi ven in (5), which we refer to a s the One-Bit bound , is asymp totically tig ht in the low interferen ce regime [6]. The u pper bo und g iv en in (6), the Z- Channel bound, is asymptotically tig ht in the moderate in terferen ce interfere nce regime. ( See Fig. 1. ) In this paper , the upp er bound g iv en in (5) is tighten ed to establish Theore m 1. Furthermore, the upper bound given in (6) is shown to b e a special case of T heorem 3, which extend s Theorem 1 to the asym metric interf erence ch annel. B. Pr oof of Theor em 1 T o prove Theor em 1 , we nee d to estab lish an up per boun d on C sum that matches the lower bo und gi ven in (3), whe n condition (2) is satisfied. As in [4], [6], o ur upper b ound is based on a gen ie g iving side informa tion to th e r eceiv ers. The genie needs to be chosen wis ely in order to produce the tightest possible up per bou nd. T o this en d, we introdu ce the fo llowing two qualities of a good g enie. 1) Useful Genie: Obtaining tigh t outer b ound s on the capacity r egion of multiuser Gau ssian c hannels is gen erally hindered by the fact that we cann ot assume a simple structu re (e.g., Gaussian) for the interfe rence seen from other users. One way arou nd th is p roblem is to let a genie provide side informa tion to the recei vers in such a way that outer b ounds can be derived for the genie-a ided chan nel. In the co ntext of the two-u ser interfere nce chan nel of interest in th is p aper, we call a ge nie useful , if the sum capacity of the gen ie-aided channel can b e derived. An example of usefu l genie is one that provid es side inf ormation S 1 = X 2 to r eceiver 1 and side inf ormation S 2 = X 1 to re ceiv er 2 , becau se the resulting genie-aide d channel has no interferen ce. Ho we ver , being too genero us, such a ge nie does not result in a tight upper bo und. This leads us to the notion of a sm art genie. 2) Smart Genie: W e call a genie smart if it results in a tight upper bou nd, i.e., it sho uld not g iv e too much in formatio n to the receivers. The “smartest” genie, of course, is one that does not in teract with the receivers at all; however , it is obviously not useful. So the essential q uestion is: Is there a genie that is both useful and smart? The question was partly answered in [6], where the genie that results in the upper bound of ( 5) is useful and asymp totically smart. What we are looking fo r is a “divine genie” that allows us to prove Th eorem 1. The quest for the di vine genie ca n be simplified by imposing a structu re on the side in formatio n it provid es. Following [6], we set: S 1 = hX 1 + h η W 1 S 2 = hX 2 + h η W 2 (7) where η is a positi ve r eal num ber . Howe ver , unlike in [ 6], we a llow W 1 to be correlated to Z 1 (and W 2 with Z 2 ), with correlation coefficient ρ . Lemma 1 ( Useful Genie) : The sum capacity of th e genie- aided channel with side info rmation gi ven in (7) is ac hieved by u sing Gaussian inputs an d by treating inter ference as noise if the fo llowing cond ition holds. | hη | ≤ p 1 − ρ 2 (8) Hence the sum capacity of the symmetr ic inter ference c hannel described is bounded as C sum ≤ I ( X 1 G ; Y 1 G , S 1 G ) + I ( X 2 G ; Y 2 G , S 2 G ) (9) Pr oo f: Using Fano’ s inequ ality , we ha ve n ( R 1 − ǫ n ) ≤ I ( X n 1 ; Y n 1 , S n 1 ) = I ( X n 1 ; S n 1 ) + I ( X n 1 ; Y n 1 | S n 1 ) = h ( S n 1 ) − h ( S n 1 | X n 1 ) + h ( Y n 1 | S n 1 ) − h ( Y n 1 | S n 1 , X n 1 ) ( a ) = h ( S n 1 ) − nh ( S 1 G | X 1 G ) + h ( Y n 1 | S n 1 ) − h ( Y n 1 | S n 1 , X n 1 ) ( b ) ≤ h ( S n 1 ) − nh ( S 1 G | X 1 G ) + n h ( Y 1 G | S 1 G ) − h ( Y n 1 | S n 1 , X n 1 ) where step (a) follows fro m that fact that h ( S n 1 | X n 1 ) = h ( hη W n 1 ) is independ ent of the distribution of X n 1 ; and in step (b) we use the facts that 1) the Gaussian distribution maximizes the c ondition al d ifferential entr opy for a giv en covariance c onstraint, an d 2 ) the f unction h ( Y 1 G | S 1 G ) = 1 2 log  2 π e  1 − ρ 2 1 + h 2 P 2 + P 1 ( ρ 1 − η 1 ) 2 P 1 + η 2 1  is an incr easing and concave fun ction in P 1 and P 2 . Similarly , we have n ( R 2 − ǫ n ) ≤ h ( S n 2 ) − nh ( S 2 G | X 2 G ) + n h ( Y 2 G | S 2 G ) − h ( Y n 2 | S n 2 , X n 2 ) Thus n ( R 1 + R 2 − 2 ǫ n ) is upper bo unded by h ( S n 1 ) − h ( Y n 2 | S n 2 , X n 2 ) − nh ( S 1 G | X 1 G ) + nh ( Y 1 G | S 1 G ) + h ( S n 2 ) − h ( Y n 1 | S n 1 , X n 1 ) − nh ( S 2 G | X 2 G ) + nh ( Y 2 G | S 2 G ) Now conside r th e expression h ( S n 1 ) − h ( Y n 2 | S n 2 , X n 2 ) = h ( hX n 1 + h η W n 1 ) − h ( hX n 1 + Z n 2 | W n 2 ) = h ( hX n 1 + V n 1 ) − h ( hX n 1 + V n 2 ) where V 1 ∼ N (0 , h 2 η 2 ) and V 2 ∼ N (0 , 1 − ρ 2 ) . Let V 1 and V 2 be correlated such that V 2 = V 1 + V , for some Gaussian random variable V independen t of V 1 , which is possible if 1 − ρ 2 ≥ h 2 η 2 , i.e., ( 8) hold s. Thus h ( S n 1 ) − h ( Y n 2 | S n 2 , X n 2 ) = h ( hX n 1 + V n 1 ) − h ( hX n 2 + V n 2 ) = − I ( V n ; aX n 1 + V n 1 + V n ) ( a ) ≤ − nI ( V ; hX 1 G + V 1 + V ) = nh ( S 1 G ) − nh ( Y 2 G | S 2 G , X 2 G ) . where step (a ) uses the worst case noise resu lt for the add iti ve noise channel [10]: Gaussian i.i.d. noise with the m aximum allow able v ariance m inimizes the mutual information w hen the input distrib ution is i.i.d. Gaussian. T herefor e n ( R 1 + R 2 − 2 ǫ n ) is uppe r b ounded by nh ( S 1 G ) − nh ( Y 2 G | S 2 G , X 2 G ) + nh ( S 2 G ) − nh ( Y 1 G | S 1 G , X 1 G ) − n h ( S 1 G | X 1 G ) + nh ( Y 1 G | S 1 G ) − nh ( S 2 G | X 2 G ) + nh ( Y 2 G | S 2 G ) = nI ( X 1 G ; Y 1 G , S 1 G ) + nI ( X 2 G ; Y 2 G , S 2 G ) and the lemm a follows by letting n → ∞ with ǫ n → 0 . Remark 1: If the genie do es not satisfy (8), it m ight still be useful. Lemma 1 o nly claims th e ‘ if ’ p art, and not the ‘ on ly if ’ part. Lemma 2 ( Smart Genie): If Gaussian inputs are used, the interferen ce is treated as noise, and the following condition holds η ρ = 1 + h 2 P (10) then the g enie d oes n ot in crease the ach iev able sum rate, i.e., I ( X 1 G ; Y 1 G , S 1 G ) = I ( X 1 G ; Y 1 G ) I ( X 2 G ; Y 2 G , S 2 G ) = I ( X 2 G ; Y 2 G ) (11) Pr oo f: Since I ( X 1 G ; Y 1 G , S 1 G ) = I ( X 1 G ; Y 1 G ) + I ( X 1 G ; S 1 G | Y 1 G ) we need to determine wh en I ( X 1 G ; S 1 G | Y 1 G ) = 0 . Now , I ( X 1 G ; S 1 G | Y 1 G ) = I ( X 1 G ; X 1 G + η W 1 | X 1 G + h X 2 G + Z 1 G ) Hence I ( X 1 G ; S 1 G | Y 1 G ) = 0 , if η W 1 is a degraded version of hX 2 G + Z 1 G , i.e., if E [( η W 1 )( hX 2 G + Z 1 )] = E [( hX 2 G + Z 1 )( hX 2 G + Z 1 )] which hap pens w hen η ρ = 1 + h 2 P . The g enie is smart an d usef ul if it meets the cond itions of both Lemma 1 and L emma 2 , i.e., when there exists a ρ ∈ [0 , 1] such that | h + h 3 P | ≤ | ρ | p 1 − ρ 2 E 1 N 1 E 2 N 2 X G b T E b T N σ Fig. 2. The random varia bles E 1 and E 2 are represented as vector s with X G at the origin. The random variabl e b ⊤ E is on the line joining E 1 and E 2 , and σ is distanc e of this line from the origin. which is po ssible if | h + h 3 P | ≤ . 5 This com pletes th e pro of of Theo rem 1. C. Geometric Interpr etation W e n ow provide a ge ometric in terpretation of the co nstruc- tion of th e g enie that was used in p roving Theo rem 1. W e begin with an ev aluation of the mutual inf ormation terms o n the RHS of (9). T he term I ( X 1 G ; Y 1 G , S 1 G ) can be expressed as I ( X 1 G ; Y 1 G , S 1 G ) = I ( X 1 G ; X 1 G + hX 2 G + Z 1 , hX 1 G + hη W 1 ) = I ( X 1 G ; X 1 G + h X 2 G + Z 1 , X 1 G + η W 1 ) which is the mutu al info rmation between a Gaussian ran dom variable an d two observations of th is ran dom variable in correlated Gaussian noise. Th e following lem ma leads to a geometric interp retation o f this mutual infor mation. Lemma 3: Let E i = X G + N i , i = 1 . . . m , be n oisy ob- servations of a zero-m ean Gaussian rando m variable X G with variance P , wher e the variables N i are arbitrary corr elated zero mean G aussian rando m variables. Then I ( X G , E ) = 1 2 log  1 + P σ 2  where E = [ E 1 . . . E m ] ⊤ and σ 2 = inf b : P m i =1 b i =1 E h ( b ⊤ E − X G ) 2 i The pr oof of the lem ma is relegated to the App endix. A geometric in terpretation of the lemma is provid ed in Fig . 2. Specializing Lemma 3 to th e case m = 2 we get the following result fo r th e mutu al inform ation term o n the RHS of (9). Lemma 4: I ( X 1 G ; Y 1 G , S 1 G ) = 1 2 log  1 + P σ 2  Y 1 G Q Y 1 : ( √ 1 + h 2 P , 0) (0 , 1 h ) Q S 1 : ( η , θ ) η W 1 hX 2 G + Z 1 X 1 G Useful Smart S 1 G Fig. 3. The genie is a) useful if it lies inside the dashed curve, and b) sm art if it lies on the solid line. If the dashed curve and solid line interse ct, treating interfe rence as noise achie ve s sum capac ity . where σ is the distance f rom origin to the line joining the points Q Y 1 and Q S 1 correspo nding to Y 1 G and S 1 G . In polar coordin ates (see Fig. 3), Q Y 1 = ( p 1 + h 2 P , 0) Q S 1 = ( η , θ ) where cos θ is the cor relation coefficient between hX 2 G + Z 1 and η W 1 , i.e., cos θ = E [ W 1 ( hX 2 G + Z 1 )] p E [( hX 2 G + Z 1 )( hX 2 G + Z 1 )] = ρ √ 1 + h 2 P Remark 2: ( η , θ ) is an alter nate description of the gen ie that is equivalent to the d escription ( η , ρ ). The conditions for the genie to be useful (8) and smart (10) can be transformed i nto the following co nditions (12) and (13), respectively . • Useful Genie: The gen ie is useful, if th e ( η , θ ) lies in side the dashed cu rve in Fig. 3. This region is specified b y h 2 η 2 + (1 + h 2 P ) co s 2 θ ≤ 1 (12) • Smart Genie : Fr om Lemm a 4, the g enie is smart if ( η , θ ) lies on the line parallel to y-ax is passing through the po int ( √ 1 + h 2 P , 0) , i.e., if η cos θ = p 1 + h 2 P (13) There exists a useful and smar t gen ie if the region specified by (12) in tersects with that specified by (13), which is true if (2) hold s. Y 1 G S 1 G Useful Smart X 1 G σ Fig. 4. Geometric deri v at ion of the upper bound on the sum capaci ty when (2) does not hold. D. Upper b ound when ( 2) does no t ho ld The impor tance of the geometric intuition will be mor e evident when the con dition (2 ) is not met, i.e., when the solid line and th e dashed cur ve do not intersect in Fig. 3. In this case, it is of interest to p ick the b est g enie within the class specified in (7). The f ollowing theor em uses such a gen ie to obtain an u pper boun d on the sum capacity . Theor em 2: If | h + h 3 P | > . 5 C sum ≤ log  1 + P 1 + h 2 P  1 + 1 µ 2  (14) where µ is the slope of th e tangent from ( √ 1 + h 2 P , 0) to th e curve ( 12). Pr oo f: As illustrated in Fig. 4, we choose the genie correspo nding to the point wh ere the tang ent t ouches the curve. Let y = µx + c be equation o f the tang ent. Sin ce th e lin e passes th rough ( √ 1 + h 2 P , 0) , we h av e c 2 = µ 2 (1 + h 2 P ) . The distance σ f rom origin to the tan gent satisfies σ 2 = c 2 µ 2 + 1 = (1 + h 2 P ) µ 2 µ 2 + 1 Thus, by L emma 4, th e result fo llows. I V . A S Y M M E T R I C I N T E R F E R E N C E C H A N N E L Theor em 3: For the asymmetric inter ference ch annel with interferen ce parameter s h 12 and h 21 , suppo se there exist ρ 1 ∈ [0 , 1 ] and ρ 2 ∈ [0 , 1 ] such that | h 12 (1 + h 2 21 P 1 ) | ≤ ρ 2 q 1 − ρ 2 1 | h 21 (1 + h 2 12 P 2 ) | ≤ ρ 1 q 1 − ρ 2 2 (15) Then tr eating interfere nce as noise achieves sum capacity , which is given by C sum = 1 2 log  1 + P 1 1 + h 2 12 P 2  + 1 2 log  1 + P 2 1 + h 2 21 P 1  Pr oo f: The proof is similar to that for the symmetric interferen ce chann el. W e set th e genie-aid ed side in formatio n as: S 1 = h 21 ( X 1 + η 1 W 1 ) S 2 = h 12 ( X 2 + η 2 W 2 ) Let ρ 1 be the cor relation between Z 1 and W 1 (and ρ 2 the correlation between Z 2 and W 2 ). Using th e same argum ents as in L emma 1, th e genie is u seful if | h 21 η 1 | ≤ q 1 − ρ 2 2 | h 12 η 2 | ≤ q 1 − ρ 2 1 Also, as in Lemma 2, the genie is smart if η 1 ρ 1 = 1 + h 2 12 P 2 η 2 ρ 2 = 1 + h 2 21 P 1 Remark 3: The cond ition (15) is equ iv alent to | h 12 (1 + h 2 21 P 1 ) | + | h 21 (1 + h 2 12 P 2 ) | ≤ 1 (16) Pr oo f: Set ρ 1 = cos φ 1 and ρ 2 = cos φ 2 . Then ρ 2 q 1 − ρ 2 1 + ρ 1 q 1 − ρ 2 2 = sin( φ 1 + φ 2 ) ≤ 1 Thus (15) implies ( 16). On the oth er han d, if ( 16) is satisfied, we can find φ such that | h 12 (1 + h 2 21 P 1 ) | ≤ cos 2 φ ≤ 1 − | h 21 (1 + h 2 12 P 2 ) | i.e., | h 12 (1 + h 2 21 P 1 ) | ≤ cos 2 φ | h 21 (1 + h 2 12 P 1 ) | ≤ sin 2 φ Setting ρ 1 = sin φ a nd ρ 2 = cos φ , we ha ve (1 5). Remark 4: The sum capacity o f the one-sided interf erence channel [4], [5] , [6] and hen ce the Z-ch annel outer boun d o n the sum capacity of the symmetric in terferen ce channel (6) are immediate corollar ies o f Theor em 3. V . C O N C L U S I O N W e used a gen ie-aided ch annel to de riv e new upp er bo unds on the sum capacity of the tw o-user Gaussian in terferen ce channel. W e in troduce d the no tions of useful genie and smart genie . A genie is useful if the sum capacity of the gen ie- aided ch annel c an easily be deri ved, and smart if the sum capacity o f the g enie-aide d channel is the same as that o f the interferen ce channel. W e showed th at when th e interfe rence lev els are below certain thresholds, we can construct a g enie that is both useful and smart. Thus we established the sum capacity of the interference ch annel in the lo w interference regime, and f urtherm ore sho wed that it is optimal for the receivers to tr eat the in terferenc e as noise in this regime. W e were recently informed by G. Kramer that Theo rem 3 has been indepen dently established in [11], [ 12]. The notion of a useful and smart genie is generalizable to interf erence channels with mor e than two u sers. W e are currently w orking on establishin g s um capacity r esults for su ch interferen ce chann els. A C K N O W L E D G M E N T This research was sup ported in part by th e NSF award CCF 04310 88, thro ugh the University of Illinois, b y a V o dafon e Foundation Gradua te Fellows hip, an d a gra nt fro m T exas Instrumen ts. A P P E N D I X Pr oo f o f Lemma 3: From Data processing ineq uality , it follows that I ( X G ; E ) ≥ I ( X G ; b ⊤ E ) , ∀ b i.e., that I ( X G ; E ) ≥ sup b : P m i =1 b i =1 I ( X G ; b ⊤ E ) Since X G and N are Gaussian, the min imum mea n squ ared- error (MMSE) estimator of the random variable X G based on E is a linear f unction of E and is also a sufficient statistic. Hence I ( X G , E ) = I ( X G ; b ⊤ E ) for som e b . There fore, I ( X G , E ) = sup b : P m i =1 b i =1 I ( X G ; b ⊤ E ) and the lemm a follows. R E F E R E N C E S [1] A. B. Carlei al, “A case where interfe rence does not reduce capacity, ” IEEE T rans. on Inform. Theory , vol. IT -21, no. 1, pp. 569–570, Sept. 1975. [2] T . S. Han and K. K obayashi, “A ne w achie v abl e rate re gion for the interfe rence channel, ” IEEE T rans. on Inform. Theory , vol. IT -27, no. 1, pp. 49–60, Jan. 1981. [3] H. Sato , “The capacity of the Gaussian interfere nce channel under strong interfe rence, ” IE EE T rans. on Inform. Theory , vol. IT -27, no. 6, pp. 786– 788, Nov . 1981. [4] G. Kramer , “Outer bounds on the capacity region of G aussian interfe r- ence channels, ” IE EE T rans. on Inform. Theory , vol. IT -50, no. 3, pp. 581–586, March 2004. [5] I. Sason, “On the achie v able rate regions for the Gaussian interferen ce channe l, ” IEEE T ra ns. on Inform. Theory , vol. IT -50, no. 6, pp. 1345– 1356, June 2004. [6] R. H. Etkin, D. N. C. Tse, and H. W ang , “Gaussian interferenc e channel capac ity to within one bit, ” Submitted to IEEE T ran s. on Inform. Theory , Feb . 2007. [7] M. H. M. Costa, “On the Gaussian interfer ence channel, ” IEEE T rans. on Inform. Theory , vol. IT -31, no. 5, pp. 607–615, S ept. 1985. [8] H. F . Chong, M. Motani, H. K. Garg, and H. E. Gamal, “On the Han- Ko bayashi re gion fo r the interferenc e channel, ” Submitt ed to IEEE T rans. on Inform. Theory , Aug. 2006. [9] A. B. Carleial , “Interf erence channels, ” IEE E T rans. on Inform. Theory , vol. IT -24, no. 1, pp. 60–70, Sept. 1978. [10] S. Diggavi and T . M. Cov er , “W orst addit i ve noi se under cov aria nce constrai nts, ” IEEE T rans. on Inform. Theory , vol. IT -47, no. 7, pp. 3072– 3081, Nov . 2001. [11] X. Shang, G. Kramer, and B. Chen, “A new outer bound a nd noisy- interfe rence sum-rate capacity for the Gaussian interferen ce channe ls, ” Submitte d to IE EE Tr ans. on Inform. Theory , Dec. 2007. [12] A. S. Motahari and A. K. Khandani, “Capacit y bounds for the Gaussian interfe rence channel, ” T o be submitted to I EEE T rans. on Info rm. Theory .

Original Paper

Loading high-quality paper...

Comments & Academic Discussion

Loading comments...

Leave a Comment